Suppr超能文献

人类对丝状寄生虫旋盘尾丝虫感染期幼虫特异性几丁质酶Ov-CHI-1的免疫反应。

Human immune responses to infective stage larval-specific chitinase of filarial parasite, Onchocerca volvulus, Ov-CHI-1.

作者信息

Wu Yang, Egerton Gillian, McCarthy James S, Nutman Thomas B, Bianco Albert E

机构信息

Liverpool School of Tropical Medicine, Pembroke Place, L3 5QA, Liverpool UK.

出版信息

Filaria J. 2003 Mar 14;2(1):6. doi: 10.1186/1475-2883-2-6.

Abstract

BACKGROUND

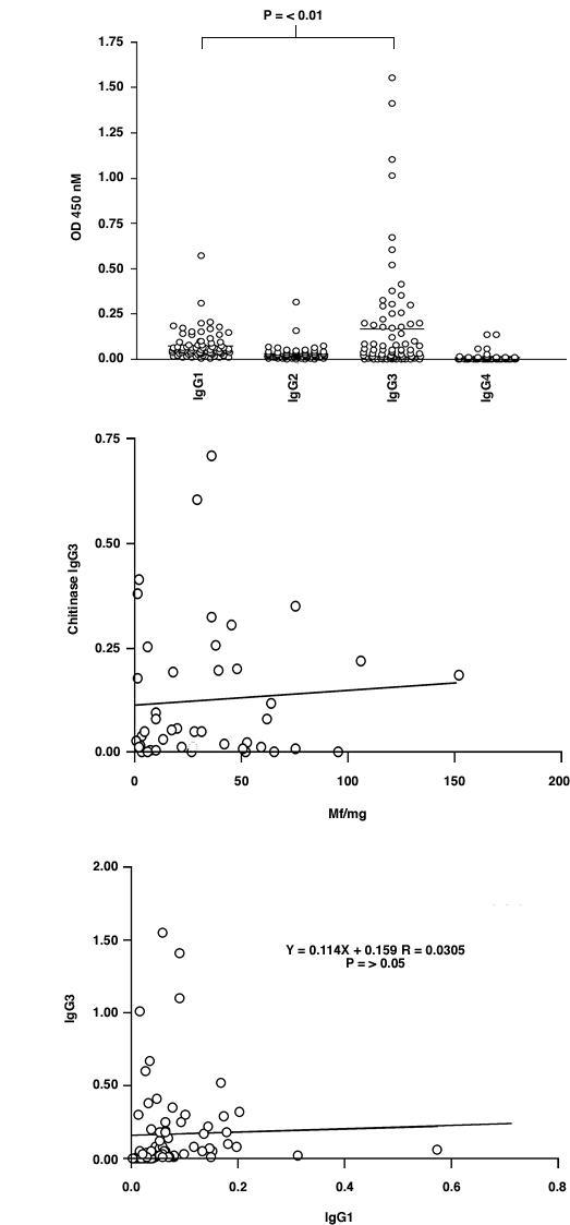
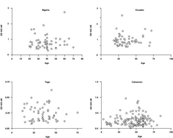
Ov-CHI-1 is a chitinase specifically expressed in the infective stage larvae of the human filarial parasite Onchocerca volvulus. Evidence has show that it could be a vaccine candidate, however, there is no data available regarding the immunological status of people naturally exposed to infective stage larvae and thus provoked by this antigen. METHOD: We analysed the Ov-CHI-1-specific immune response present in four endemic foci of human onchocerciasis (Ecuador, Nigeria, Togo and Cameroon) by enzyme-linked immunosorbent assays and T-cell proliferation assays. RESULTS: In these foci of infection, antibodies to Ov-CHI-1 were found to be present in only 22% of individuals from Ecuador, but were detected in 42-62% of infected individuals in the three foci from West Africa (Nigeria, Togo and Cameroon). There was found to be no relationship between antibody level and age, gender, or infection intensity as indicated by microfilarial density and numbers of skin nodules. The isotype response to Ov-CHI-1 was dominated by the presence of IgG3, IgG1 was present to a lesser extent. Our results show a positive correlation between N- and C-termini of Ov-CHI-1 in their ability to provoke humoral and cellular immune responses in the human. Peripheral blood mononuclear cell (PBMC) proliferative responses to Ov-CHI-1 when assayed, were found to be significantly higher in the individuals from endemic areas and there was a statistically elevated response to Ov-CHI-1 in the infected individuals when compared to putative immune individuals. CONCLUSION: Ov-CHI-1 is an antigen that we have found strongly induces both humoral and cellular immune responses in humans.

摘要

背景

Ov-CHI-1是一种在人体丝虫寄生虫旋盘尾丝虫感染期幼虫中特异性表达的几丁质酶。有证据表明它可能是一种疫苗候选物,然而,对于自然接触感染期幼虫并因此受到该抗原刺激的人群的免疫状态,尚无可用数据。方法:我们通过酶联免疫吸附测定和T细胞增殖测定,分析了人类盘尾丝虫病四个流行区(厄瓜多尔、尼日利亚、多哥和喀麦隆)中存在的Ov-CHI-1特异性免疫反应。结果:在这些感染区,厄瓜多尔只有22%的个体检测到抗Ov-CHI-1抗体,但在西非的三个流行区(尼日利亚、多哥和喀麦隆),42%-62%的感染个体检测到该抗体。抗体水平与年龄、性别或感染强度(以微丝蚴密度和皮肤结节数量表示)之间没有关系。对Ov-CHI-1的同种型反应以IgG3为主,IgG1的含量较少。我们的结果表明,Ov-CHI-1的N端和C端在激发人体体液免疫和细胞免疫反应的能力方面呈正相关。在检测时,发现流行区个体外周血单个核细胞(PBMC)对Ov-CHI-1的增殖反应显著更高,与假定的免疫个体相比,感染个体对Ov-CHI-1的反应在统计学上有所升高。结论:我们发现Ov-CHI-1是一种能在人体中强烈诱导体液免疫和细胞免疫反应的抗原。

https://cdn.ncbi.nlm.nih.gov/pmc/blobs/e8a4/153484/a65611b05759/1475-2883-2-6-1.jpg

文献AI研究员

20分钟写一篇综述,助力文献阅读效率提升50倍。

立即体验

用中文搜PubMed

大模型驱动的PubMed中文搜索引擎

马上搜索

文档翻译

学术文献翻译模型,支持多种主流文档格式。

立即体验