Lopez B S, Bertrand-Mercat P, Corteggiani E, Coppey J
Institut Curie, Section de Biologie, Paris, France.
Nucleic Acids Res. 1992 Oct 11;20(19):5167-72. doi: 10.1093/nar/20.19.5167.
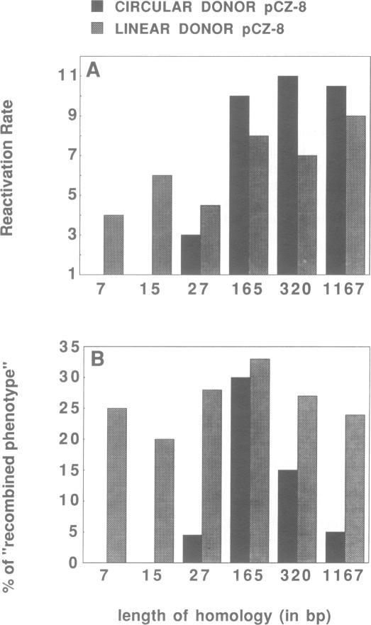
The effect of the structure of donor DNA molecules on the initiation of recombination for double strand break repair in human nuclear extracts, was investigated here. A unique double strand break was introduced into M13 duplex derivatives by digestion with restriction enzymes. After coincubation of the cleaved DNA in human nuclear extracts, with a plasmid containing M13 sequences spanning the break, double strand break repair was estimated by the plating efficiency in JM109 (RecA1) bacteria. We first confirm that a short heterologous insert (8bp) close to the break on the recipient cleaved M13 DNA inhibits recombination with circular as well as with linear donor molecules. The results indicate that, with these substrates, recombination is initiated at the level of the break, requires uninterrupted homology on both sides of the break, and is associated with a decreasing gradient of gene conversion. When the heterologous insertion is located on the plasmid donor DNA, similar results are obtained with a circular donor DNA. In contrast, with a linear donor molecule, bearing the insert, homology requirements, in the region of the break in M13 DNA, are abolished. This last result suggests that recombination could be initiated at the extremities of the linear donor DNA.