Suppr超能文献

甘氨酸酰肼类CFTR孔道阻断抑制剂的发现:作用机制、构效关系分析及体内疗效

Discovery of glycine hydrazide pore-occluding CFTR inhibitors: mechanism, structure-activity analysis, and in vivo efficacy.

作者信息

Muanprasat Chatchai, Sonawane N D, Salinas Danieli, Taddei Alessandro, Galietta Luis J V, Verkman A S

机构信息

Department of Medicine, Cardiovascular Research Institute, University of California, San Francisco, San Francisco, CA 94143-0521, USA.

出版信息

J Gen Physiol. 2004 Aug;124(2):125-37. doi: 10.1085/jgp.200409059.

Abstract

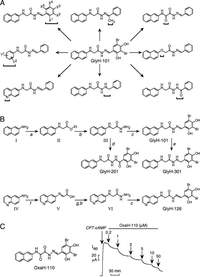
The cystic fibrosis transmembrane conductance regulator (CFTR) protein is a cAMP-regulated epithelial Cl- channel that, when defective, causes cystic fibrosis. Screening of a collection of 100,000 diverse small molecules revealed four novel chemical classes of CFTR inhibitors with Ki < 10 microM, one of which (glycine hydrazides) had many active structural analogues. Analysis of a series of synthesized glycine hydrazide analogues revealed maximal inhibitory potency for N-(2-naphthalenyl) and 3,5-dibromo-2,4-dihydroxyphenyl substituents. The compound N-(2-naphthalenyl)-[(3,5-dibromo-2,4-dihydroxyphenyl)methylene]glycine hydrazide (GlyH-101) reversibly inhibited CFTR Cl- conductance in <1 min. Whole-cell current measurements revealed voltage-dependent CFTR block by GlyH-101 with strong inward rectification, producing an increase in apparent inhibitory constant Ki from 1.4 microM at +60 mV to 5.6 microM at -60 mV. Apparent potency was reduced by lowering extracellular Cl- concentration. Patch-clamp experiments indicated fast channel closures within bursts of channel openings, reducing mean channel open time from 264 to 13 ms (-60 mV holding potential, 5 microM GlyH-101). GlyH-101 inhibitory potency was independent of pH from 6.5-8.0, where it exists predominantly as a monovalent anion with solubility approximately 1 mM in water. Topical GlyH-101 (10 microM) in mice rapidly and reversibly inhibited forskolin-induced hyperpolarization in nasal potential differences. In a closed-loop model of cholera, intraluminal GlyH-101 (2.5 microg) reduced by approximately 80% cholera toxin-induced intestinal fluid secretion. Compared with the thiazolidinone CFTR inhibitor CFTR(inh)-172, GlyH-101 has substantially greater water solubility and rapidity of action, and a novel inhibition mechanism involving occlusion near the external pore entrance. Glycine hydrazides may be useful as probes of CFTR pore structure, in creating animal models of CF, and as antidiarrheals in enterotoxic-mediated secretory diarrheas.

摘要

囊性纤维化跨膜传导调节因子(CFTR)蛋白是一种受环磷酸腺苷(cAMP)调节的上皮氯离子通道,该通道出现缺陷时会导致囊性纤维化。对100,000种不同小分子的集合进行筛选,发现了四种新型化学类别的CFTR抑制剂,其抑制常数Ki < 10 microM,其中一类(甘氨酸酰肼)有许多活性结构类似物。对一系列合成的甘氨酸酰肼类似物进行分析,发现N-(2-萘基)和3,5-二溴-2,4-二羟基苯基取代基具有最大抑制效力。化合物N-(2-萘基)-[(3,5-二溴-2,4-二羟基苯基)亚甲基]甘氨酸酰肼(GlyH-101)在不到1分钟内可逆地抑制CFTR氯离子传导。全细胞电流测量显示,GlyH-101对CFTR的阻断具有电压依赖性且具有强烈的内向整流性,导致表观抑制常数Ki从+60 mV时的1.4 microM增加到-60 mV时的5.6 microM。降低细胞外氯离子浓度会降低表观效力。膜片钳实验表明,在通道开放的阵发过程中通道快速关闭,使平均通道开放时间从264毫秒减少到13毫秒(-60 mV钳制电位,5 microM GlyH-101)。GlyH-101的抑制效力在pH值6.5 - 8.0范围内与pH无关,在此pH范围内它主要以单价阴离子形式存在,在水中的溶解度约为1 mM。给小鼠局部应用GlyH-101(10 microM)可迅速且可逆地抑制福斯可林诱导的鼻电位差超极化。在霍乱闭环模型中,腔内应用GlyH-101(2.5微克)可使霍乱毒素诱导的肠液分泌减少约80%。与噻唑烷酮类CFTR抑制剂CFTR(inh)-172相比,GlyH-101具有更高的水溶性和更快的作用速度,以及一种涉及在外孔入口附近阻塞的新型抑制机制。甘氨酸酰肼可用作CFTR孔结构的探针,用于建立囊性纤维化动物模型,以及作为肠毒素介导的分泌性腹泻的止泻药。

https://cdn.ncbi.nlm.nih.gov/pmc/blobs/75bc/2229623/2bff480ae548/200409059f1.jpg

文献AI研究员

20分钟写一篇综述,助力文献阅读效率提升50倍。

立即体验

用中文搜PubMed

大模型驱动的PubMed中文搜索引擎

马上搜索

文档翻译

学术文献翻译模型,支持多种主流文档格式。

立即体验