Suppr超能文献

载吉西他滨脂质体对人间变性甲状腺癌细胞的细胞毒性作用。

Cytotoxic effects of gemcitabine-loaded liposomes in human anaplastic thyroid carcinoma cells.

作者信息

Celano Marilena, Calvagno Maria Grazia, Bulotta Stefania, Paolino Donatella, Arturi Franco, Rotiroti Domenicoantonio, Filetti Sebastiano, Fresta Massimo, Russo Diego

机构信息

Department of Pharmacobiological Sciences, University of Catanzaro "Magna Graecia", 88100 Catanzaro, Italy.

出版信息

BMC Cancer. 2004 Sep 13;4:63. doi: 10.1186/1471-2407-4-63.

Abstract

BACKGROUND

Identification of effective systemic antineoplastic drugs against anaplastic thyroid carcinomas has particularly important implications. In fact, the efficacy of the chemotherapeutic agents presently used in these tumours, is strongly limited by their low therapeutic index.

METHODS

In this study gemcitabine was entrapped within a pegylated liposomal delivery system to improve the drug antitumoral activity, thus exploiting the possibility to reduce doses to be administered in cancer therapy. The cytotoxic effects of free or liposome-entrapped gemcitabine was evaluated against a human thyroid tumour cell line. ARO cells, derived from a thyroid anaplastic carcinoma, were exposed to different concentrations of the drug. Liposomes formulations were made up of 1,2-dipalmitoyl-sn-glycero-3-phosphocholine/cholesterol/1,2-distearoyl-sn-glycero-3-phosphoethanolamine-MPEG (8:3:1 molar ratio). Cell viability was assessed by both trypan bleu dye exclusion assay and fluorimetric analysis of cell DNA content.

RESULTS

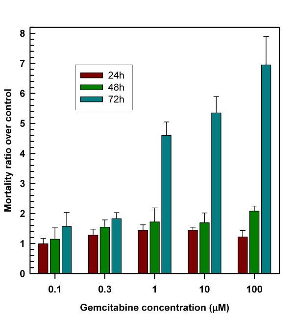
A cytotoxic effect of free gemcitabine was present only after 72 h incubation (ARO cell mortality increased of approximately 4 fold over control at 1 microM, 7 fold at 100 microM). When gemcitabine was encapsulated in liposomes, a significant effect was observed by using lower concentrations of the drug (increased cell mortality of 2.4 fold vs. control at 0.3 microM) and earlier exposure time (24 h).

CONCLUSION

These findings show that, in vitro against human thyroid cancer cells, the gemcitabine incorporation within liposomes enhances the drug cytotoxic effect with respect to free gemcitabine, thus suggesting a more effective drug uptake inside the cells. This may allow the use of new formulations with lower dosages (side effect free) for the treatment of anaplastic human thyroid tumours.

摘要

背景

鉴定针对间变性甲状腺癌的有效全身抗肿瘤药物具有特别重要的意义。事实上,目前用于这些肿瘤的化疗药物的疗效受到其低治疗指数的严重限制。

方法

在本研究中,吉西他滨被包裹在聚乙二醇化脂质体递送系统中,以提高药物的抗肿瘤活性,从而利用降低癌症治疗中给药剂量的可能性。评估游离或脂质体包裹的吉西他滨对人甲状腺肿瘤细胞系的细胞毒性作用。将源自甲状腺间变性癌的ARO细胞暴露于不同浓度的药物。脂质体制剂由1,2-二棕榈酰-sn-甘油-3-磷酸胆碱/胆固醇/1,2-二硬脂酰-sn-甘油-3-磷酸乙醇胺-MPEG(摩尔比8:3:1)组成。通过台盼蓝染料排斥试验和细胞DNA含量的荧光分析评估细胞活力。

结果

仅在孵育72小时后游离吉西他滨才出现细胞毒性作用(在1 microM时,ARO细胞死亡率比对照增加约4倍,在100 microM时增加7倍)。当吉西他滨被包裹在脂质体中时,使用较低浓度的药物(在0.3 microM时细胞死亡率比对照增加2.4倍)和更早的暴露时间(24小时)观察到显著效果。

结论

这些发现表明,在体外针对人甲状腺癌细胞,与游离吉西他滨相比,脂质体包裹的吉西他滨增强了药物的细胞毒性作用,从而表明细胞内药物摄取更有效。这可能允许使用更低剂量(无副作用)的新制剂来治疗人甲状腺间变性肿瘤。

https://cdn.ncbi.nlm.nih.gov/pmc/blobs/666e/517941/20b20a1d1480/1471-2407-4-63-1.jpg

文献AI研究员

20分钟写一篇综述,助力文献阅读效率提升50倍。

立即体验

用中文搜PubMed

大模型驱动的PubMed中文搜索引擎

马上搜索

文档翻译

学术文献翻译模型,支持多种主流文档格式。

立即体验