Suppr超能文献

恒河猴接种含或不含默克铝佐剂的人乳头瘤病毒6、11、16和18型L1病毒样颗粒疫苗后诱导产生的抗体反应的动力学和同种型谱。

Kinetics and isotype profile of antibody responses in rhesus macaques induced following vaccination with HPV 6, 11, 16 and 18 L1-virus-like particles formulated with or without Merck aluminum adjuvant.

作者信息

Ruiz Wanda, McClements William L, Jansen Kathrin U, Esser Mark T

机构信息

Vaccine and Biologics Research Merck Research Laboratories 466 Devon Park Dr, Wayne, PA 19087-8630 USA.

出版信息

J Immune Based Ther Vaccines. 2005 Apr 20;3(1):2. doi: 10.1186/1476-8518-3-2.

Abstract

BACKGROUND

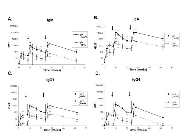
Human papillomaviruses (HPV) are the most common sexually transmitted viruses. Infection of the cervical epithelium by HPVs can lead to the development of cervical cancer. Recent advances in vaccine research have shown that immunization with papillomavirus-like particles (VLPs) containing the major structural viral protein, L1 from HPV 16 can provide protection from the establishment of a chronic HPV 16 infection and related cervical intraepithelial neoplasia (CIN) in baseline HPV 16 naive women. METHODS: To better understand the quantitative and qualitative effects of aluminum adjuvant on the immunogenic properties of an HPV 6, 11, 16 and 18L1 VLP vaccine, we used an HPV-specific, antibody isotyping assay and a competitive immunoassay that measures antibodies to neutralizing epitopes to profile sera from rhesus macaques immunized with the HPV L1 VLP vaccine formulated with or without aluminum adjuvant. RESULTS: Immunization with VLPs formulated with the aluminum adjuvant elicited a significantly stronger immune response with higher peak antibody titers both at four weeks post vaccination (12.7 to 41.9-fold higher) as well as in the persistent phase at week 52 (4.3 to 26.7-fold higher) than that of VLPs alone. Furthermore, the aluminum adjuvant formulated HPV VLP vaccine elicited a predominantly T helper type 2 response, with high levels of IgG1 and IgG4 and low levels of IgG2. The vaccine also elicited high levels of serum IgA, which may be important in providing mucosal immunity to impart protection in the anogenital tract. CONCLUSION: These results show that the HPV 6, 11, 16 and 18 L1-VLP vaccine formulated with Merck aluminum adjuvant elicits a robust and durable immune response and holds promise as a vaccine for preventing cervical cancer.

摘要

背景

人乳头瘤病毒(HPV)是最常见的性传播病毒。HPV感染宫颈上皮可导致宫颈癌的发生。疫苗研究的最新进展表明,用含有HPV 16主要结构病毒蛋白L1的乳头瘤病毒样颗粒(VLP)进行免疫接种,可以保护基线时未感染HPV 16的女性免受慢性HPV 16感染及相关宫颈上皮内瘤变(CIN)的侵袭。

方法

为了更好地了解铝佐剂对HPV 6、11、16和18 L1 VLP疫苗免疫原性的定量和定性影响,我们使用了一种HPV特异性抗体分型检测方法和一种竞争性免疫检测方法,该方法可测量针对中和表位的抗体,以分析用含或不含铝佐剂的HPV L1 VLP疫苗免疫的恒河猴血清。

结果

与单独的VLP相比,用铝佐剂配制的VLP免疫接种在接种后四周(高12.7至41.9倍)以及第52周的持续期(高4.3至26.7倍)引发了显著更强的免疫反应,抗体峰值滴度更高。此外,铝佐剂配制的HPV VLP疫苗主要引发2型辅助性T细胞反应,IgG1和IgG4水平高,IgG2水平低。该疫苗还引发了高水平的血清IgA,这可能对提供黏膜免疫以在肛门生殖道提供保护很重要。

结论

这些结果表明,用默克铝佐剂配制的HPV 6、11、16和18 L1 - VLP疫苗引发了强大而持久的免疫反应,有望成为预防宫颈癌的疫苗。

https://cdn.ncbi.nlm.nih.gov/pmc/blobs/5405/1097753/f279da3bb6dc/1476-8518-3-2-1.jpg

文献AI研究员

20分钟写一篇综述,助力文献阅读效率提升50倍。

立即体验

用中文搜PubMed

大模型驱动的PubMed中文搜索引擎

马上搜索

文档翻译

学术文献翻译模型,支持多种主流文档格式。

立即体验