van Dijl J M, de Jong A, Vehmaanperä J, Venema G, Bron S
Department of Genetics, Center of Biological Sciences, Haren, The Netherlands.
EMBO J. 1992 Aug;11(8):2819-28. doi: 10.1002/j.1460-2075.1992.tb05349.x.
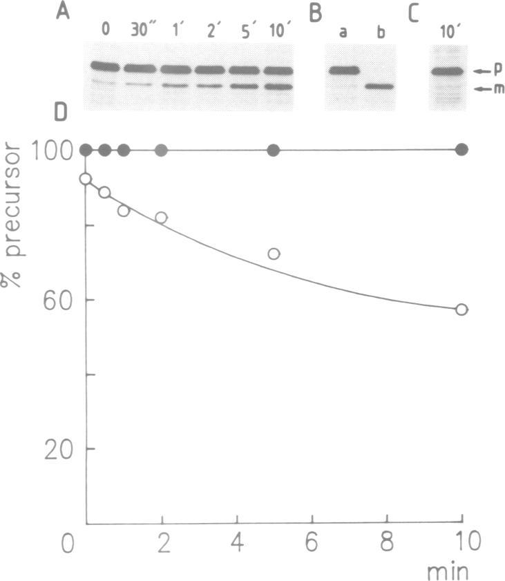
Signal peptidases (SPases) remove signal peptides from secretory proteins. The sipS (signal peptidase of subtilis) gene, which encodes an SPase of Bacillus subtilis, was cloned in Escherichia coli and was also found to be active in E.coli. Its overproduction in B.subtilis resulted in increased rates of processing of a hybrid beta-lactamase precursor. The SipS protein consisted of 184 amino acids (mol. wt 21 kDa). The protein showed sequence similarity with the leader peptidases of E.coli and Salmonella typhimurium, and the mitochondrial inner membrane protease I of Saccharomyces cerevisiae. Patterns of conserved amino acids present in these four proteins were also detected in the Sec11 subunit of the SPase complex of S.cerevisiae and the 18 and 21 kDa subunits of the canine SPase complex. Knowledge of the sequence of SipS was essential for the detection of these similarities between prokaryotic and eukaryotic SPases. The data suggest that these proteins, which have analogous functions, belong to one class of enzymes, the type I SPases.
信号肽酶(SPases)从分泌蛋白中去除信号肽。编码枯草芽孢杆菌SPase的sipS(枯草芽孢杆菌信号肽酶)基因在大肠杆菌中克隆,并发现其在大肠杆菌中也具有活性。它在枯草芽孢杆菌中的过量表达导致杂合β-内酰胺酶前体加工速率增加。SipS蛋白由184个氨基酸组成(分子量21 kDa)。该蛋白与大肠杆菌和鼠伤寒沙门氏菌的前导肽酶以及酿酒酵母的线粒体内膜蛋白酶I具有序列相似性。在酿酒酵母SPase复合体的Sec11亚基以及犬类SPase复合体的18 kDa和21 kDa亚基中也检测到这四种蛋白中存在的保守氨基酸模式。SipS序列的知识对于检测原核和真核SPases之间的这些相似性至关重要。数据表明,这些具有类似功能的蛋白属于一类酶,即I型SPases。