Bergner Albrecht, Kellner Julia, Silva Anita Kemp da, Gamarra Fernando, Huber Rudolf M
Pneumology, Medizinische Klinik-Innenstadt, Ludwig-Maximilians-University, Munich, Germany.
Respir Res. 2006 Feb 23;7(1):33. doi: 10.1186/1465-9921-7-33.
Airway smooth muscle cells (ASMC) play a key role in bronchial hyperresponsiveness (BHR). A major component of the signaling cascade leading to ASMC contraction is calcium. So far, agonist-induced Ca2+-signaling in asthma has been studied by comparing innate properties of inbred rat or mouse strains, or by using selected mediators known to be involved in asthma. T-bet knock-out (KO) mice show key features of allergic asthma such as a shift towards TH2-lymphocytes and display a broad spectrum of asthma-like histological and functional characteristics. In this study, we aimed at investigating whether Ca2+-homeostasis of ASMC is altered in T-bet KO-mice as an experimental model of asthma.
Lung slices of 100 to 200 microm thickness were obtained from T-bet KO- and wild-type mice. Airway contraction in response to acetylcholine (ACH) was measured by video-microscopy and Ca2+-signaling in single ASMC of lung slices was assessed using two-photon-microscopy.
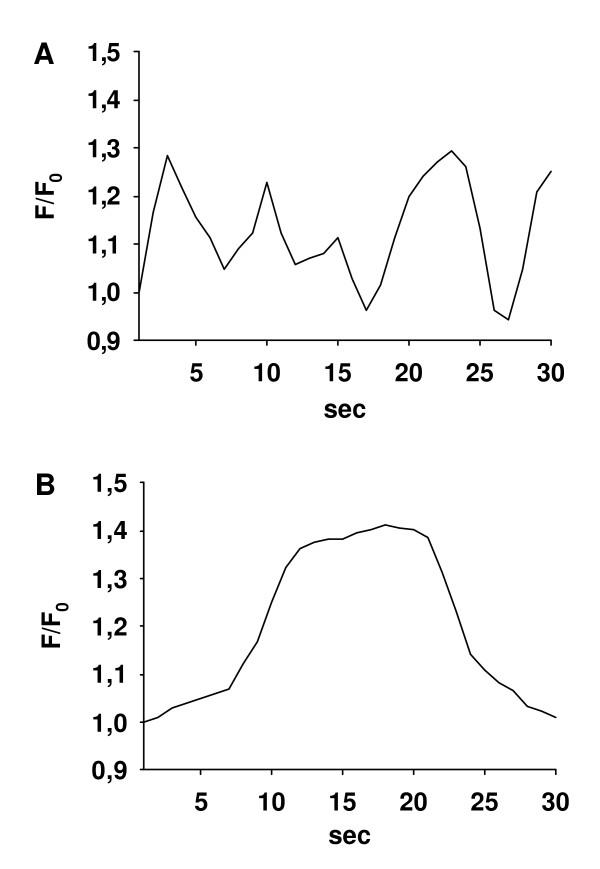
Airways from T-bet KO-mice showed increased baseline airway tone (BAT) and BHR compared to wild-type mice. This could be mimicked by incubation of lung slices from wild-type mice with IL-13. The increased BAT was correlated with an increased incidence of spontaneous changes in intracellular Ca2+-concentrations, whereas BHR correlated with higher ACH-induced Ca2+-transients and an increased proportion of ASMC showing Ca2+-oscillations. Emptying intracellular Ca2+-stores using caffeine or cyclopiazonic acid induced higher Ca2+-elevations in ASMC from T-bet KO- compared to wild-type mice.
Altered Ca2+-homeostasis of ASMC contributes to increased BAT and BHR in lung slices from T-bet KO-mice as a murine asthma model. We propose that a higher Ca2+-content of the intracellular Ca2+-stores is involved in the pathophysiology of these changes.
气道平滑肌细胞(ASMC)在支气管高反应性(BHR)中起关键作用。导致ASMC收缩的信号级联反应的一个主要成分是钙。到目前为止,哮喘中激动剂诱导的Ca2+信号传导已通过比较近交系大鼠或小鼠品系的固有特性,或通过使用已知参与哮喘的特定介质进行研究。T-bet基因敲除(KO)小鼠表现出过敏性哮喘的关键特征,如向TH2淋巴细胞的转变,并表现出广泛的哮喘样组织学和功能特征。在本研究中,我们旨在研究作为哮喘实验模型的T-bet KO小鼠中ASMC的Ca2+稳态是否改变。
从T-bet KO小鼠和野生型小鼠获取100至200微米厚的肺切片。通过视频显微镜测量对乙酰胆碱(ACH)的气道收缩,并使用双光子显微镜评估肺切片单个ASMC中的Ca2+信号传导。
与野生型小鼠相比,T-bet KO小鼠的气道显示出更高的基线气道张力(BAT)和BHR。用白细胞介素-13孵育野生型小鼠的肺切片可模拟这种情况。BAT增加与细胞内Ca2+浓度自发变化的发生率增加相关,而BHR与更高的ACH诱导的Ca2+瞬变以及显示Ca2+振荡的ASMC比例增加相关。与野生型小鼠相比,使用咖啡因或环匹阿尼酸排空细胞内Ca2+储存会在T-bet KO小鼠的ASMC中诱导更高的Ca2+升高。
作为小鼠哮喘模型,T-bet KO小鼠肺切片中ASMC的Ca2+稳态改变导致BAT和BHR增加。我们提出细胞内Ca2+储存中较高的Ca2+含量参与了这些变化的病理生理学过程。