Suppr超能文献

互叶白千层(茶树)油的主要生物活性成分萜品-4-醇对唑类敏感和耐药的人类致病念珠菌的体内活性。

In vivo activity of terpinen-4-ol, the main bioactive component of Melaleuca alternifolia Cheel (tea tree) oil against azole-susceptible and -resistant human pathogenic Candida species.

作者信息

Mondello Francesca, De Bernardis Flavia, Girolamo Antonietta, Cassone Antonio, Salvatore Giuseppe

机构信息

Department of Infectious, Parasitic and Immune-mediated Diseases, Istituto Superiore di Sanità, Viale Regina Elena 299, 00161 Rome, Italy.

出版信息

BMC Infect Dis. 2006 Nov 3;6:158. doi: 10.1186/1471-2334-6-158.

Abstract

BACKGROUND

Recent investigations on the antifungal properties of essential oil of Melaleuca alternifolia Cheel (Tea Tree Oil, TTO) have been performed with reference to the treatment of vaginal candidiasis. However, there is a lack of in vivo data supporting in vitro results, especially regarding the antifungal properties of TTO constituents. Thus, the aim of our study was to investigate the in vitro and the in vivo anti-Candida activity of two critical bioactive constituents of TTO, terpinen-4-ol and 1,8-cineole.

METHODS

Oophorectomized, pseudoestrus rats under estrogen treatment were used for experimental vaginal infection with azole (fluconazole, itraconazole) -susceptible or -resistant strains of C. albicans. All these strains were preliminarily tested for in vitro susceptibility to TTO, terpinen-4-ol and 1,8-cineole for their antifungal properties, using a modification of the CLSI (formerly NCCLS) reference M27-A2 broth micro-dilution method.

RESULTS

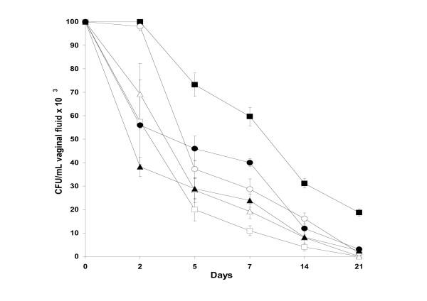
In vitro minimal inhibitory concentrations (MIC90) values were 0.06% (volume/volume) for terpinen-4-ol and 4% (volume/volume) for 1,8-cineole, regardless of susceptibility or resistance of the strains to fluconazole and itraconazole. Fungicidal concentrations of terpinen-4-ol were equivalent to the candidastatic activity. In the rat vaginal infection model, terpinen-4-ol was as active as TTO in accelerating clearance from the vagina of all Candida strains examined.

CONCLUSION

Our data suggest that terpinen-4-ol is a likely mediator of the in vitro and in vivo activity of TTO. This is the first in vivo demonstration that terpinen-4-ol could control C. albicans vaginal infections. The purified compound holds promise for the treatment of vaginal candidiasis, and particularly the azole-resistant forms.

摘要

背景

近期对互叶白千层精油(茶树油,TTO)抗真菌特性的研究涉及阴道念珠菌病的治疗。然而,缺乏支持体外研究结果的体内数据,尤其是关于TTO成分的抗真菌特性。因此,我们研究的目的是调查TTO的两种关键生物活性成分萜品-4-醇和1,8-桉叶素的体外和体内抗念珠菌活性。

方法

对切除卵巢、处于假发情期且接受雌激素治疗的大鼠进行实验性阴道感染,感染白色念珠菌的唑类(氟康唑、伊曲康唑)敏感或耐药菌株。所有这些菌株均使用改良的CLSI(原NCCLS)参考M27-A2肉汤微量稀释法,初步测试其对TTO、萜品-4-醇和1,8-桉叶素抗真菌特性的体外敏感性。

结果

无论菌株对氟康唑和伊曲康唑的敏感性或耐药性如何,萜品-4-醇的体外最低抑菌浓度(MIC90)值为0.06%(体积/体积),1,8-桉叶素为4%(体积/体积)。萜品-4-醇的杀菌浓度等同于制念珠菌活性。在大鼠阴道感染模型中,萜品-4-醇在加速清除所有检测的念珠菌菌株方面与TTO活性相当。

结论

我们的数据表明,萜品-4-醇可能是TTO体外和体内活性的介质。这是首次在体内证明萜品-4-醇可控制白色念珠菌阴道感染。该纯化化合物有望用于治疗阴道念珠菌病,尤其是唑类耐药形式。

https://cdn.ncbi.nlm.nih.gov/pmc/blobs/19f5/1637110/d36b05764dd3/1471-2334-6-158-1.jpg

文献AI研究员

20分钟写一篇综述,助力文献阅读效率提升50倍。

立即体验

用中文搜PubMed

大模型驱动的PubMed中文搜索引擎

马上搜索

文档翻译

学术文献翻译模型,支持多种主流文档格式。

立即体验