Maniura-Weber Katharina, Helm Mark, Engemann Katrin, Eckertz Sabrina, Möllers Myriam, Schauen Matthias, Hayrapetyan Armine, von Kleist-Retzow Jürgen-Christoph, Lightowlers Robert N, Bindoff Laurence A, Wiesner Rudolf J
Institute of Vegetative Physiology, Medical Faculty, University of Köln, Robert-Koch-Strasse 39, D-50931 Köln, Germany.
Nucleic Acids Res. 2006;34(22):6404-15. doi: 10.1093/nar/gkl727. Epub 2006 Nov 27.
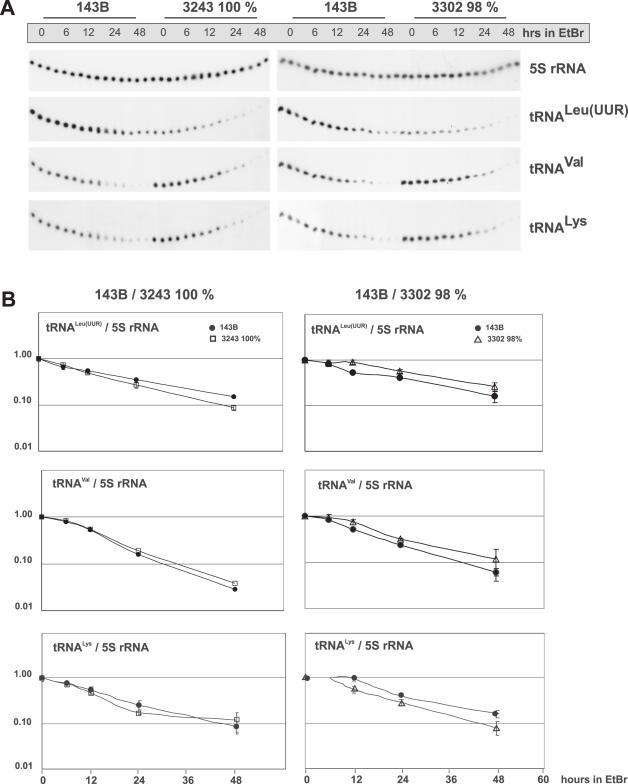
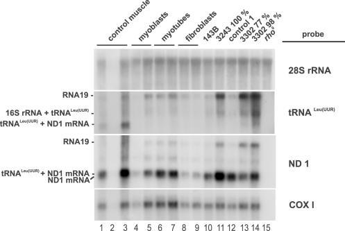
The gene encoding mt-tRNA(Leu(UUR)), MT-TL1, is a hotspot for pathogenic mtDNA mutations. Amongst the first to be described was the 3302A>G transition which resulted in a substantial accumulation in patient muscle of RNA19, an unprocessed RNA intermediate including mt-16S rRNA, mt-tRNA(Leu(UUR)) and MTND1. We have now been able to further assess the molecular aetiology associated with 3302A>G in transmitochondrial cybrids. Increased steady-state levels of RNA19 was confirmed, although not to the levels previously reported in muscle. This data was consistent with an increase in RNA19 stability. The mutation resulted in decreased mt-tRNA(Leu(UUR)) levels, but its stability was unchanged, consistent with a defect in RNA19 processing responsible for low tRNA levels. A partial defect in aminoacylation was also identified, potentially caused by an alteration in tRNA structure. These deficiencies lead to a severe defect in respiration in the transmitochondrial cybrids, consistent with the profound mitochondrial disorder originally associated with this mutation.
编码线粒体tRNA(亮氨酸(UUR))的基因MT-TL1是致病性线粒体DNA突变的热点区域。最早被描述的突变之一是3302A>G转换,该突变导致患者肌肉中RNA19大量积累,RNA19是一种未加工的RNA中间体,包括线粒体16S rRNA、线粒体tRNA(亮氨酸(UUR))和MTND1。我们现在能够进一步评估与线粒体杂种中3302A>G相关的分子病因。尽管RNA19的稳态水平没有达到先前在肌肉中报道的水平,但仍证实其有所增加。该数据与RNA19稳定性增加一致。该突变导致线粒体tRNA(亮氨酸(UUR))水平降低,但其稳定性未改变,这与导致tRNA水平低的RNA19加工缺陷一致。还发现了氨酰化的部分缺陷,这可能是由tRNA结构改变引起的。这些缺陷导致线粒体杂种呼吸严重缺陷,这与最初与该突变相关的严重线粒体疾病一致。