Suppr超能文献

踝臂指数与冠心病发病的关联:社区动脉粥样硬化风险(ARIC)研究,1987 - 2001年

The association of the ankle-brachial index with incident coronary heart disease: the Atherosclerosis Risk In Communities (ARIC) study, 1987-2001.

作者信息

Weatherley Beth D, Nelson Jeanenne J, Heiss Gerardo, Chambless Lloyd E, Sharrett A Richey, Nieto F Javier, Folsom Aaron R, Rosamond Wayne D

机构信息

Duke Clinical Research Institute, Duke University Medical Center, P,O, Box 17969, Durham, NC 27715, USA.

出版信息

BMC Cardiovasc Disord. 2007 Jan 16;7:3. doi: 10.1186/1471-2261-7-3.

Abstract

BACKGROUND

Peripheral arterial disease (PAD), defined by a low ankle-brachial index (ABI), is associated with an increased risk of cardiovascular events, but the risk of coronary heart disease (CHD) over the range of the ABI is not well characterized, nor described for African Americans.

METHODS

The ABI was measured in 12186 white and African American men and women in the Atherosclerosis Risk in Communities Study in 1987-89. Fatal and non-fatal CHD events were ascertained through annual telephone contacts, surveys of hospital discharge lists and death certificate data, and clinical examinations, including electrocardiograms, every 3 years. Participants were followed for a median of 13.1 years. Age- and field-center-adjusted hazard ratios (HRs) were estimated using Cox regression models.

RESULTS

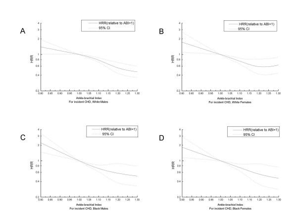
Over a median 13.1 years follow-up, 964 fatal or non-fatal CHD events accrued. In whites, the age- and field-center-adjusted CHD hazard ratio (HR, 95% CI) for PAD (ABI<0.90) was 2.81 (1.77-4.45) for men and 2.05 (1.20-3.53) for women. In African Americans, the HR for men was 4.86 (2.76-8.47) and for women was 2.34 (1.26-4.35). The CHD risk increased exponentially with decreasing ABI as a continuous function, and continued to decline at ABI values > 1.0, in all race-gender subgroups. The association between the ABI and CHD relative risk was similar for men and women in both race groups. A 0.10 lower ABI increased the CHD hazard by 25% (95% CI 17-34%) in white men, by 20% (8-33%) in white women, by 34% (19-50%) in African American men, and by 32% (17-50%) in African American women.

CONCLUSION

African American members of the ARIC cohort had higher prevalences of PAD and greater risk of CHD associated with ABI-defined PAD than did white participants. Unlike in other cohorts, in ARIC the CHD risk failed to increase at high (>1.3) ABI values. We conclude that at this time high ABI values should not be routinely considered a marker for increased CVD risk in the general population. Further research is needed on the value of the ABI at specific cutpoints for risk stratification in the context of traditional risk factors.

摘要

背景

外周动脉疾病(PAD)由低踝臂指数(ABI)定义,与心血管事件风险增加相关,但在ABI范围内冠心病(CHD)的风险尚未得到充分描述,非裔美国人的情况也未被描述。

方法

在1987 - 1989年社区动脉粥样硬化风险研究中,对12186名白人和非裔美国男性及女性测量了ABI。通过每年电话随访、医院出院清单调查和死亡证明数据以及每3年进行的包括心电图在内的临床检查来确定致命和非致命的CHD事件。参与者的中位随访时间为13.1年。使用Cox回归模型估计年龄和现场中心调整后的风险比(HRs)。

结果

在中位13.1年的随访中,共发生964例致命或非致命的CHD事件。在白人中,PAD(ABI<0.90)的年龄和现场中心调整后的CHD风险比(HR,95%CI)男性为2.81(1.77 - 4.45),女性为2.05(1.20 - 3.53)。在非裔美国人中,男性HR为4.86(2.76 - 8.47),女性为2.34(1.26 - 4.35)。作为连续函数,CHD风险随ABI降低呈指数增加,并且在所有种族 - 性别亚组中,当ABI值>1.0时风险继续下降。两个种族组中男性和女性的ABI与CHD相对风险之间的关联相似。ABI降低0.10使白人男性的CHD风险增加25%(95%CI 17 - 34%),白人女性增加20%(8 - 33%),非裔美国男性增加34%(19 - 50%),非裔美国女性增加32%(17 - 50%)。

结论

与白人参与者相比,ARIC队列中的非裔美国人PAD患病率更高,且与ABI定义的PAD相关的CHD风险更大。与其他队列不同,在ARIC中,CHD风险在高(>1.3)ABI值时并未增加。我们得出结论,目前在一般人群中,高ABI值不应常规被视为心血管疾病风险增加的标志物。需要进一步研究在传统风险因素背景下,特定切点的ABI用于风险分层的价值。

https://cdn.ncbi.nlm.nih.gov/pmc/blobs/a187/1784111/a481f19fe5b1/1471-2261-7-3-1.jpg

文献AI研究员

20分钟写一篇综述,助力文献阅读效率提升50倍。

立即体验

用中文搜PubMed

大模型驱动的PubMed中文搜索引擎

马上搜索

文档翻译

学术文献翻译模型,支持多种主流文档格式。

立即体验