Suppr超能文献

CD4 + T细胞不介导基因多样化疟原虫之间的宿主体内竞争。

CD4+T cells do not mediate within-host competition between genetically diverse malaria parasites.

作者信息

Barclay Victoria C, Råberg Lars, Chan Brian H K, Brown Sheila, Gray David, Read Andrew F

机构信息

School of Biological Sciences, University of Edinburgh, Edinburgh, UK.

出版信息

Proc Biol Sci. 2008 May 22;275(1639):1171-9. doi: 10.1098/rspb.2007.1713.

Abstract

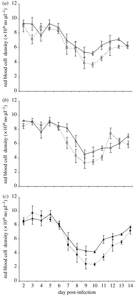
Ecological interactions between microparasite populations in the same host are an important source of selection on pathogen traits such as virulence and drug resistance. In the rodent malaria model Plasmodium chabaudi in laboratory mice, parasites that are more virulent can competitively suppress less virulent parasites in mixed infections. There is evidence that some of this suppression is due to immune-mediated apparent competition, where an immune response elicited by one parasite population suppress the population density of another. This raises the question whether enhanced immunity following vaccination would intensify competitive interactions, thus strengthening selection for virulence in Plasmodium populations. Using the P. chabaudi model, we studied mixed infections of virulent and avirulent genotypes in CD4+T cell-depleted mice. Enhanced efficacy of CD4+T cell-dependent responses is the aim of several candidate malaria vaccines. We hypothesized that if immune-mediated interactions were involved in competition, removal of the CD4+T cells would alleviate competitive suppression of the avirulent parasite. Instead, we found no alleviation of competition in the acute phase, and significant enhancement of competitive suppression after parasite densities had peaked. Thus, the host immune response may actually be alleviating other forms of competition, such as that over red blood cells. Our results suggest that the CD4+-dependent immune response, and mechanisms that act to enhance it such as vaccination, may not have the undesirable affect of exacerbating within-host competition and hence the strength of this source of selection for virulence.

摘要

同一宿主内微寄生虫种群之间的生态相互作用是对病原体特性(如毒力和耐药性)进行选择的重要来源。在实验室小鼠的啮齿动物疟疾模型——查巴迪疟原虫中,毒性更强的寄生虫在混合感染中能够竞争性地抑制毒性较弱的寄生虫。有证据表明,这种抑制作用部分是由于免疫介导的表观竞争,即一个寄生虫种群引发的免疫反应会抑制另一个种群的密度。这就提出了一个问题,即疫苗接种后免疫力增强是否会加剧竞争相互作用,从而加强疟原虫种群中毒力的选择。利用查巴迪疟原虫模型,我们研究了在CD4 + T细胞耗竭的小鼠中有毒和无毒基因型的混合感染。增强CD4 + T细胞依赖性反应的效力是几种候选疟疾疫苗的目标。我们假设,如果免疫介导的相互作用参与了竞争,去除CD4 + T细胞将减轻对无毒寄生虫的竞争性抑制。然而,我们发现急性期竞争没有减轻,而在寄生虫密度达到峰值后,竞争性抑制显著增强。因此,宿主免疫反应实际上可能正在减轻其他形式的竞争,比如对红细胞的竞争。我们的结果表明,CD4 +依赖性免疫反应以及诸如疫苗接种等增强该反应的机制,可能不会产生加剧宿主体内竞争以及由此导致毒力选择强度增加的不良影响。

https://cdn.ncbi.nlm.nih.gov/pmc/blobs/4908/2602688/ddcb7e035ff9/rspb20071713f01.jpg

文献AI研究员

20分钟写一篇综述,助力文献阅读效率提升50倍。

立即体验

用中文搜PubMed

大模型驱动的PubMed中文搜索引擎

马上搜索

文档翻译

学术文献翻译模型,支持多种主流文档格式。

立即体验