Suppr超能文献

钙依赖性失活终止两栖动物骨骼肌中的钙释放。

Calcium-dependent inactivation terminates calcium release in skeletal muscle of amphibians.

作者信息

Ríos Eduardo, Zhou Jingsong, Brum Gustavo, Launikonis Bradley S, Stern Michael D

机构信息

Section of Cellular Signaling, Department of Molecular Biophysics and Physiology, Rush University, Chicago, IL 60612, USA.

出版信息

J Gen Physiol. 2008 Apr;131(4):335-48. doi: 10.1085/jgp.200709870. Epub 2008 Mar 17.

Abstract

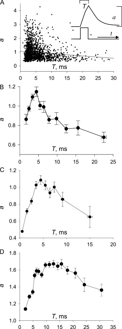
In skeletal muscle of amphibians, the cell-wide cytosolic release of calcium that enables contraction in response to an action potential appears to be built of Ca2+ sparks. The mechanism that rapidly terminates this release was investigated by studying the termination of Ca2+ release underlying sparks. In groups of thousands of sparks occurring spontaneously in membrane-permeabilized frog muscle cells a complex relationship was found between amplitude a and rise time T, which in sparks corresponds to the active time of the underlying Ca2+ release. This relationship included a range of T where a paradoxically decreased with increasing T. Three different methods were used to estimate Ca2+ release flux in groups of sparks of different T. Using every method, it was found that T and flux were inversely correlated, roughly inversely proportional. A simple model in which release sources were inactivated by cytosolic Ca2+ was able to explain the relationship. The predictive value of the model, evaluated by analyzing the variance of spark amplitude, was found to be high when allowance was made for the out-of-focus error contribution to the total variance. This contribution was estimated using a theory of confocal scanning (Ríos, E., N. Shirokova, W.G. Kirsch, G. Pizarro, M.D. Stern, H. Cheng, and A. González. Biophys. J. 2001. 80:169-183), which was confirmed in the present work by simulated line scanning of simulated sparks. Considering these results and other available evidence it is concluded that Ca2+-dependent inactivation, or CDI, provides the crucial mechanism for termination of sparks and cell-wide Ca2+ release in amphibians. Given the similarities in kinetics of release termination observed in cell-averaged records of amphibian and mammalian muscle, and in spite of differences in activation mechanisms, CDI is likely to play a central role in mammals as well. Trivially, an inverse proportionality between release flux and duration, in sparks or in global release of skeletal muscle, maintains constancy of the amount of released Ca2+.

摘要

在两栖动物的骨骼肌中,响应动作电位而引发收缩的全细胞胞质钙释放似乎是由钙火花构成的。通过研究钙火花背后钙释放的终止机制,对快速终止这种释放的机制进行了研究。在膜通透的青蛙肌肉细胞中自发出现的数千个火花群中,发现幅度a和上升时间T之间存在复杂关系,在火花中,上升时间对应于潜在钙释放的活跃时间。这种关系包括一个上升时间范围,在此范围内幅度会随着上升时间的增加而反常地减小。使用三种不同方法来估计不同上升时间的火花群中的钙释放通量。使用每种方法都发现,上升时间和通量呈负相关,大致成反比。一个释放源被胞质钙失活的简单模型能够解释这种关系。通过分析火花幅度的方差来评估该模型的预测价值,当考虑到离焦误差对总方差的贡献时,发现该模型的预测价值很高。这种贡献是使用共焦扫描理论(里奥斯,E.,N. 希罗科娃,W.G. 基尔希,G. 皮萨罗,M.D. 斯特恩,H. 程,以及A. 冈萨雷斯。《生物物理杂志》。2001年。80:169 - 183)进行估计的,在本研究中通过对模拟火花进行模拟线扫描得到了证实。考虑到这些结果和其他现有证据,可以得出结论,钙依赖性失活(CDI)为两栖动物中火花和全细胞钙释放的终止提供了关键机制。鉴于在两栖动物和哺乳动物肌肉的细胞平均记录中观察到的释放终止动力学的相似性,尽管激活机制存在差异,但CDI在哺乳动物中可能也起着核心作用。显然,在火花或骨骼肌的整体释放中,释放通量与持续时间之间的反比关系维持了释放钙量的恒定。

https://cdn.ncbi.nlm.nih.gov/pmc/blobs/3765/2279174/4c7c11c68984/jgp1310335f01.jpg

文献AI研究员

20分钟写一篇综述,助力文献阅读效率提升50倍。

立即体验

用中文搜PubMed

大模型驱动的PubMed中文搜索引擎

马上搜索

文档翻译

学术文献翻译模型,支持多种主流文档格式。

立即体验