Suppr超能文献

The effect of lowering the threshold for diagnosis of impaired fasting glucose.

作者信息

Kim So Hun, Shim Wan Sub, Kim Eun A, Kim Eun Joo, Lee Seung Hee, Hong Seong Bin, Kim Yong Seong, Park Shin Goo, Leem Jong Han, Lee Hun-Jae, Nam Moonsuk

机构信息

Department of Internal Medicine, Inha University College of Medicine, 7-206 3-ga, Shinhung-dong, Jung-gu, Incheon 400-711, Korea.

出版信息

Yonsei Med J. 2008 Apr 30;49(2):217-23. doi: 10.3349/ymj.2008.49.2.217.

Abstract

PURPOSE

The aim of this study was to evaluate the effect of lowering the fasting plasma glucose (FPG) criteria for impaired fasting glucose (IFG) on the prevalence of IFG and the risk for the development of diabetes associated with IFG in Koreans.

MATERIALS AND METHODS

A total of 7,211 subjects who had normal glucose tolerance (NGT) or IFG were recruited. Subjects were evaluated at baseline and after two years follow up. Clinical data including total cholesterol, FPG and blood pressure were examined.

RESULTS

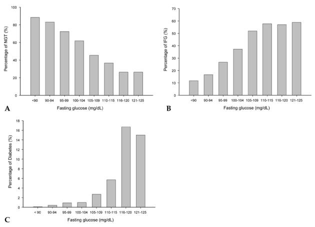
Lowering the criteria for IFG from 6.1 mmol/L (110 mg/dL) to 5.6 mmol/L (100 mg/dL) increased the prevalence of IFG from 6.6% (494 subjects) to 24.4% (1829 subjects). After the 2 years follow up period, 91 subjects (1.3%) developed diabetes. Twenty one (0.3%) subjects developed diabetes among 5,382 NGT subjects and 70 (3.8%) subjects developed diabetes among 1,829 IFG (5.6-7.0 mmol/L) subjects. Lowering the IFG threshold from 6.1 mmol/L to 5.6 mmol/L resulted in a 18.4% decrease in specificity and 23.9% increase in sensitivity for predicting diabetes. The baseline FPG for predicting the development of diabetes after 2 years at a point on the receiver operating characteristic curve that was closest to the ideal 100% sensitivity and 100% specificity was 5.7 mmol/L (103 mg/dL).

CONCLUSION

Lowering the FPG criterion of IFG should have benefits in predicting new onset type 2 diabetes mellitus in Koreans. The economic and health benefits of applying the new IFG criteria should be evaluated in future studies.

摘要
https://cdn.ncbi.nlm.nih.gov/pmc/blobs/a78e/2615324/59178d109bce/ymj-49-217-g001.jpg

文献AI研究员

20分钟写一篇综述,助力文献阅读效率提升50倍。

立即体验

用中文搜PubMed

大模型驱动的PubMed中文搜索引擎

马上搜索

文档翻译

学术文献翻译模型,支持多种主流文档格式。

立即体验