Suppr超能文献

基于台湾地区124例乳腺癌患者和97例对照的研究结果表明,MDM2基因启动子中的单核苷酸多态性(SNP309)与乳腺癌发病较早及风险增加有关。

Results based on 124 cases of breast cancer and 97 controls from Taiwan suggest that the single nucleotide polymorphism (SNP309) in the MDM2 gene promoter is associated with earlier onset and increased risk of breast cancer.

作者信息

Sun Ying-Fang, Leu Jyh-Der, Chen Su-Mei, Lin I-Feng, Lee Yi-Jang

机构信息

Department of Biomedical Imaging and Radiological Sciences, National Yang-Ming University, Taipei, Taiwan.

出版信息

BMC Cancer. 2009 Jan 13;9:13. doi: 10.1186/1471-2407-9-13.

Abstract

BACKGROUND

It has been suggested that the single nucleotide polymorphism 309 (SNP309, T -> G) in the promoter region of the MDM2 gene is important for tumor development; however, with regards to breast cancer, inconsistent associations have been reported worldwide. It is speculated that these conflicting results may have arisen due to different patient subgroups and ethnicities studied. For the first time, this study explores the effect of the MDM2 SNP309 genotype on Taiwanese breast cancer patients.

METHODS

Genomic DNA was obtained from the whole blood of 124 breast cancer patients and 97 cancer-free healthy women living in Taiwan. MDM2 SNP309 genotyping was carried out by restriction fragment length polymorphism (RFLP) assay. The multivariate logistic regression and the Kaplan-Meier method were used for analyzing the risk association and significance of age at diagnosis among different MDM2 SNP309 genotypes, respectively.

RESULTS

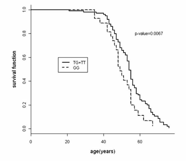
Compared to the TT genotype, an increased risk association with breast cancer was apparent for the GG genotype (OR = 3.05, 95% CI = 1.04 to 8.95), and for the TG genotype (OR = 2.12, 95% CI = 0.90 to 5.00) after adjusting for age, cardiovascular disease/diabetes, oral contraceptive usage, and body mass index, which exhibits significant difference between cases and controls. Furthermore, the average ages at diagnosis for breast cancer patients were 53.6, 52 and 47 years for those harboring TT, TG and GG genotypes, respectively. A significant difference in median age of onset for breast cancer between GG and TT+TG genotypes was obtained by the log-rank test (p = 0.0067).

CONCLUSION

Findings based on the current sample size suggest that the MDM2 SNP309 GG genotype may be associated with both the risk of breast cancer and an earlier age of onset in Taiwanese women.

摘要

背景

有研究表明,MDM2基因启动子区域的单核苷酸多态性309(SNP309,T→G)对肿瘤发展具有重要意义;然而,关于乳腺癌,全球范围内报道的关联结果并不一致。据推测,这些相互矛盾的结果可能是由于所研究的患者亚组和种族不同所致。本研究首次探讨了MDM2 SNP309基因型对台湾乳腺癌患者的影响。

方法

从124例台湾乳腺癌患者和97例无癌健康女性的全血中获取基因组DNA。采用限制性片段长度多态性(RFLP)分析法对MDM2 SNP309进行基因分型。分别采用多因素logistic回归和Kaplan-Meier法分析不同MDM2 SNP309基因型之间的风险关联以及诊断年龄的意义。

结果

与TT基因型相比,在调整年龄、心血管疾病/糖尿病、口服避孕药使用情况和体重指数后,GG基因型(OR = 3.05,95%CI = 1.04至8.95)和TG基因型(OR = 2.12,95%CI = 0.90至5.00)与乳腺癌的风险关联增加,病例组与对照组之间存在显著差异。此外,携带TT、TG和GG基因型的乳腺癌患者的平均诊断年龄分别为53.6岁、52岁和47岁。通过对数秩检验,GG基因型与TT + TG基因型之间乳腺癌发病年龄的中位数存在显著差异(p = 0.0067)。

结论

基于当前样本量的研究结果表明,MDM2 SNP309 GG基因型可能与台湾女性乳腺癌风险及发病年龄较早有关。

https://cdn.ncbi.nlm.nih.gov/pmc/blobs/4e13/2649157/60041c7d655f/1471-2407-9-13-1.jpg

文献AI研究员

20分钟写一篇综述,助力文献阅读效率提升50倍。

立即体验

用中文搜PubMed

大模型驱动的PubMed中文搜索引擎

马上搜索

文档翻译

学术文献翻译模型,支持多种主流文档格式。

立即体验