Yamada Takeshi, Muroga Yasuhide, Tanaka Reiko
Osaka University of Pharmaceutical Sciences, 4-20-1, Nasahara, Takatsuki, Osaka 569-1094, Japan.
Mar Drugs. 2009 Jun 16;7(2):249-57. doi: 10.3390/md7020249.
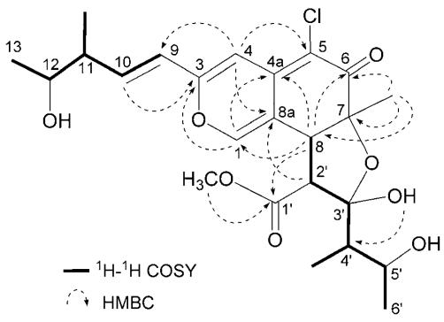
Seco-chaetomugilins A and D were isolated from a strain of Chaetomium globosum that was originally isolated from the marine fish Mugil cephalus, and their absolute stereostructures were elucidated on the basis of spectroscopic analyses, including 1D and 2D NMR techniques, along with the chemical transformation from known chaetomugilins A and D. Seco-chaetomugilin D exhibited growth inhibitory activity against cultured P388, HL-60, L1210, and KB cells.
裂-鲻菌素A和D是从最初从海洋鱼类鲻鱼中分离出的一株球毛壳菌中分离得到的,其绝对立体结构是基于光谱分析(包括一维和二维核磁共振技术)以及已知鲻菌素A和D的化学转化而阐明的。裂-鲻菌素D对培养的P388、HL-60、L1210和KB细胞具有生长抑制活性。