Suppr超能文献

宿主性别对多色亚洲瓢虫 Harmonia axyridis 寄生真菌 Hesperomyces virescens 的感染率、密度和分布的影响。

Influence of host gender on infection rate, density and distribution of the parasitic fungus, Hesperomyces virescens, on the multicolored Asian lady beetle, Harmonia axyridis.

机构信息

USDA-ARS, Biological Control of Pests Research Unit, 59 Lee Road, Stoneville, MS 38776, USA.

出版信息

J Insect Sci. 2006;6:1-15. doi: 10.1673/031.006.4201.

Abstract

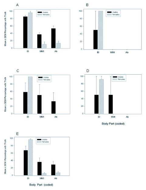
Hesperomyces virescens Thaxter (Laboulbeniales: Laboulbeniaceae) is a parasitic fungus that infects lady beetles (Coleoptera: Coccinellidae) via horizontal transmission between adults at overwintering and feeding sites. The differential behavior of male and female hosts could have profound effects on intensity of infection and positioning of fungus on the host's integument. The influence of host gender on infection rate, density and distribution of this parasite on the multicolored Asian lady beetle, Harmonia axyridis (Pallas) (Coleoptera: Coccinellidae), was determined at a feeding site. Adult H. axyridis were sampled from pecan, Carya illinoinensis (Wangenh.) K. Koch, trees in northern Mississippi, USA, during summer and early fall 2003-2004. Results indicated that the behavior of male or female beetles on pecan trees had only a limited effect on the intensity of infection. When averaged over the entire season, the percentage of H. axyridis infected with H. virescens was not influenced by host gender. In 2003, a seasonal average of 54 and 39% of males and females, respectively, were infected; whereas in 2004, 36 and 41% of male and female beetles, respectively, were infected. The percentage of males infected with H. virescens was correlated with the number of males captured at the site in 2003; infection rate decreased as male abundance increased. Infection rate did not correlate with female abundance in 2003 or male or female abundance in 2004. Host gender had a considerable effect on the density and distribution of the fungus. Hesperomyces virescens mature thalli were denser on male rather than female beetles. Also, thallus density was often greatest on the elytra, meso- and metathorax, and abdomen of males and elytra of females, than on other body parts, in 2003. In 2003 and 2004, approximately 59 and 97% and 67 and 96% of males and females, respectively, had mature thalli distributed on the elytra. Prevalence of H. virescens thalli on the dorsum of H. axyridis females suggests that mating behavior is important in fungal transmission. However, prevalence of thalli on the dorsum of H. axyridis males suggests that behaviors other than mating contribute to the transmission of H. virescens onto male beetles. Spread of H. virescens ascospores from infected to uninfected H. axyridis adults of different generations, at feeding sites, might be vital to maintaining stable populations of the fungus.

摘要

绿叶新木霉(Laboulbeniales:Laboulbeniaceae)是一种寄生真菌,通过成虫在越冬和取食地点之间的水平传播感染食植瓢虫(鞘翅目:瓢虫科)。雌雄寄主的不同行为可能对感染强度和真菌在寄主表皮上的定位产生深远影响。在取食地点,确定了这种寄生虫对多色亚洲瓢虫(Harmonia axyridis(Pallas))(鞘翅目:瓢虫科)的感染率、密度和分布的影响。2003 年至 2004 年,从美国密西西比州北部的山核桃树上采集成年 H. axyridis。结果表明,雌雄甲虫在山核桃树上的行为仅对感染强度有一定影响。整个季节平均来看,感染绿叶新木霉的 H. axyridis 百分比不受宿主性别影响。2003 年,雄性和雌性的感染率分别为 54%和 39%;而在 2004 年,雄性和雌性的感染率分别为 36%和 41%。感染绿叶新木霉的雄性数量与当年在该地点捕获的雄性数量相关;感染率随着雄性数量的增加而降低。2003 年,雌性丰度与感染率无关,2004 年,雄性或雌性丰度与感染率无关。宿主性别对真菌的密度和分布有很大影响。绿叶新木霉成熟子实体在雄性上比在雌性上更密集。此外,2003 年,在雄性的鞘翅、中胸和后胸以及腹部,以及雌性的鞘翅上,子实体密度通常高于其他身体部位。2003 年和 2004 年,雄性和雌性分别约有 59%和 97%和 67%和 96%的成熟子实体分布在鞘翅上。绿叶新木霉子实体出现在多色亚洲瓢虫雌性背部的情况表明,交配行为在真菌传播中很重要。然而,绿叶新木霉子实体出现在多色亚洲瓢虫雄性背部的情况表明,交配以外的行为有助于绿叶新木霉传播到雄性甲虫身上。在取食地点,感染和未感染的不同世代的 H. axyridis 成虫之间绿叶新木霉子囊孢子的传播可能对维持真菌种群的稳定至关重要。

https://cdn.ncbi.nlm.nih.gov/pmc/blobs/840c/2990298/c17f44894573/f01_01.jpg

文献AI研究员

20分钟写一篇综述,助力文献阅读效率提升50倍。

立即体验

用中文搜PubMed

大模型驱动的PubMed中文搜索引擎

马上搜索

文档翻译

学术文献翻译模型,支持多种主流文档格式。

立即体验