Department of Biology, Murray State University, 334 Blackburn Hall, Murray, KY 42071, USA.
J Insect Sci. 2007;7:1-8. doi: 10.1673/031.007.1401.
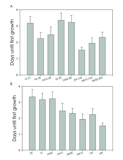
Termites may have high exposure to both pathogenic and competitive fungal species. Previous studies have shown anti-fungal properties of the primary components (alpha-pinene and limonene) of Nasutitermes frontal glands that are present on soldiers. In this study, the termite Nasutitermes acajutlae (Isoptera: Termitidae) was used to examine if the growth of naturally occurring fungi was inhibited by soldiers, as compared to workers that do not have frontal glands. Soldiers and workers were killed, surface sterilized, and placed on nutrient agar either singly or in combinations with other termites. Time until appearance of fungus and growth of visible fungal colonies was determined. Fungus appeared significantly earlier in cultures with single workers than with single soldiers (P < 0.001). Once fungus appeared, there were no significant differences in growth rate. When worker and/or soldier fluids were combined in one culture, fungal growth appeared later in cultures containing soldiers; growth was significantly slower in colonies with 5 workers and 5 soldiers than in cultures with 5 workers alone; P < 0.001. Finally, growth appeared later in cultures with 5 soldiers than in cultures with one soldier, suggesting a dose-response. Fungi that grew from termites were mostly non-pathogenic, suggesting the anti-fungal properties of soldiers may inhibit both pathogens and competitors.
白蚁可能会接触到大量的致病真菌和竞争性真菌。先前的研究表明,兵蚁触角腺的主要成分(α-蒎烯和柠檬烯)具有抗真菌特性,而这些成分存在于兵蚁身上。在这项研究中,使用了纳苏图白蚁(白蚁科:白蚁科)来检验兵蚁是否能抑制自然发生的真菌生长,而没有触角腺的工蚁则不能。兵蚁和工蚁被杀死、表面消毒后,单独或与其他白蚁一起放在营养琼脂上。测定出现真菌和可见真菌菌落生长所需的时间。在单独的工蚁培养物中,真菌出现的时间明显早于单独的兵蚁(P < 0.001)。一旦真菌出现,生长速度就没有显著差异。当工蚁和/或兵蚁的液体混合在一个培养物中时,含有兵蚁的培养物中真菌生长出现得更晚;在含有 5 只工蚁和 5 只兵蚁的菌落中,生长速度明显比仅含有 5 只工蚁的菌落慢;P < 0.001。最后,含有 5 只兵蚁的培养物中真菌生长出现得比含有 1 只兵蚁的培养物更晚,这表明存在剂量反应。从白蚁中生长出来的真菌大多是非致病的,这表明兵蚁的抗真菌特性可能抑制病原体和竞争者。