Suppr超能文献

杀螨剂处理的疥疮螨中谷胱甘肽S-转移酶转录增加。

Increased transcription of Glutathione S-transferases in acaricide exposed scabies mites.

作者信息

Mounsey Kate E, Pasay Cielo J, Arlian Larry G, Morgan Marjorie S, Holt Deborah C, Currie Bart J, Walton Shelley F, McCarthy James S

机构信息

Infectious Diseases Division, Queensland Institute of Medical Research and Australian Centre for International and Tropical Health and Nutrition, University of Queensland, Brisbane, Queensland, Australia.

出版信息

Parasit Vectors. 2010 May 18;3:43. doi: 10.1186/1756-3305-3-43.

Abstract

BACKGROUND

Recent evidence suggests that Sarcoptes scabiei var. hominis mites collected from scabies endemic communities in northern Australia show increasing tolerance to 5% permethrin and oral ivermectin. Previous findings have implicated detoxification pathways in developing resistance to these acaricides. We investigated the contribution of Glutathione S-transferase (GST) enzymes to permethrin and ivermectin tolerance in scabies mites using biochemical and molecular approaches.

RESULTS

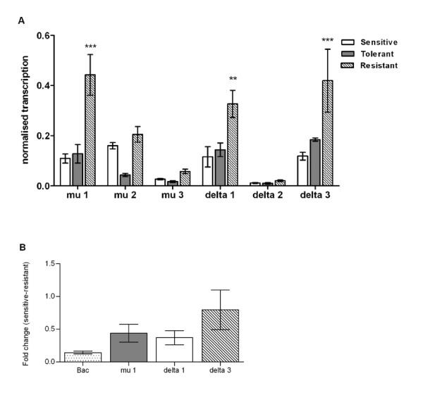
Increased in vitro survival following permethrin exposure was observed in S. scabiei var. hominis compared to acaricide naïve mites (p < 0.0001). The addition of the GST inhibitor diethyl maleate restored in vitro permethrin susceptibility, confirming GST involvement in permethrin detoxification. Assay of GST enzymatic activity in mites demonstrated that S. scabiei var. hominis mites showed a two-fold increase in activity compared to naïve mites (p < 0.0001). Increased transcription of three different GST molecules was observed in permethrin resistant S. scabiei var. canis- mu 1 (p < 0.0001), delta 1 (p < 0.001), and delta 3 (p < 0.0001). mRNA levels of GST mu 1, delta 3 and P-glycoprotein also significantly increased in S. scabiei var. hominis mites collected from a recurrent crusted scabies patient over the course of ivermectin treatment.

CONCLUSIONS

These findings provide further support for the hypothesis that increased drug metabolism and efflux mediate permethrin and ivermectin resistance in scabies mites and highlight the threat of emerging acaricide resistance to the treatment of scabies worldwide. This is one of the first attempts to define specific genes involved in GST mediated acaricide resistance at the transcriptional level, and the first application of such studies to S. scabiei, a historically challenging ectoparasite.

摘要

背景

近期证据表明,从澳大利亚北部疥疮流行社区采集的人疥螨对5%氯菊酯和口服伊维菌素的耐受性增强。先前的研究结果表明解毒途径与对这些杀螨剂产生抗性有关。我们使用生化和分子方法研究了谷胱甘肽S-转移酶(GST)酶在疥螨对氯菊酯和伊维菌素耐受性中的作用。

结果

与未接触过杀螨剂的螨虫相比,人疥螨在接触氯菊酯后体外存活率增加(p < 0.0001)。添加GST抑制剂马来酸二乙酯可恢复体外对氯菊酯的敏感性,证实GST参与氯菊酯解毒。对螨虫GST酶活性的检测表明,人疥螨的活性比未接触过杀螨剂的螨虫增加了两倍(p < 0.0001)。在对氯菊酯耐药的犬疥螨变种中观察到三种不同GST分子的转录增加,分别是mu 1(p < 0.0001)、delta 1(p < 0.001)和delta 3(p < 0.0001)。在伊维菌素治疗过程中,从一名复发性结痂性疥疮患者身上采集的人疥螨中,GST mu 1、delta 3和P-糖蛋白的mRNA水平也显著增加。

结论

这些发现进一步支持了以下假设,即药物代谢和外排增加介导了疥螨对氯菊酯和伊维菌素的抗性,并突出了新出现的杀螨剂抗性对全球疥疮治疗的威胁。这是首次在转录水平上确定参与GST介导的杀螨剂抗性的特定基因的尝试之一,也是此类研究首次应用于疥疮这一历史上具有挑战性的体外寄生虫。

https://cdn.ncbi.nlm.nih.gov/pmc/blobs/571a/2890653/0038725a1b5c/1756-3305-3-43-1.jpg

文献AI研究员

20分钟写一篇综述,助力文献阅读效率提升50倍。

立即体验

用中文搜PubMed

大模型驱动的PubMed中文搜索引擎

马上搜索

文档翻译

学术文献翻译模型,支持多种主流文档格式。

立即体验