Suppr超能文献

血小板计数对多电极血小板聚集仪(Multiplate)检测结果的影响。

Impact of platelet count on results obtained from multiple electrode platelet aggregometry (Multiplate).

机构信息

Klinik für Anästhesiologie und Intensivmedizin, Medizinische Hochschule Hannover, Hannover, Germany.

出版信息

Eur J Med Res. 2010 May 18;15(5):214-9. doi: 10.1186/2047-783x-15-5-214.

Abstract

OBJECTIVES

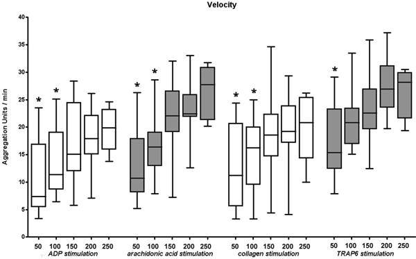
Use of potent antiplatelet drugs requires evaluation of platelet function. While platelet function in elective cases is usually assessed in a central laboratory environment, there is also an urgent need for rapid perioperative point-of-care assessment. Recently, multiple electrode platelet aggregometry has been developed and assumed to measure platelet function independent from platelet count. We tested the hypothesis that results of multiple electrode platelet aggregometry are affected by platelet count, in particular if platelet count is below normal range.

METHODS

Whole blood samples from 20 healthy volunteers were prepared containing platelet concentrations of 50,000, 100,000, 150,000, 200,000, and 250,000 microl(-1) while maintaining hematocrit. Platelet aggregation was induced by collagen, thrombin receptor activating peptide 6 (TRAP-6), adenosine-diphoshate (ADP), and arachidonic acid, respectively, and aggregation was measured by multiple electrode platelet aggregometry (Multiplate).

RESULTS

Results of multiple electrode platelet aggregometry significantly decreased in blood samples with platelet count below normal range. Compared to results measured in blood samples with platelet count within normal range, aggregometry results decreased by 18.4 % (p<0.001) and 37.2 % (p<0.001) in blood samples with a platelet count of 100.000 and 50.000 microl(-1), respectively. On the other hand, large interindividual variation has been observed and some blood samples showed normal results even with platelet counts of 50.000 microl(-1).

CONCLUSION

The results obtained with Multiplate. Analyzer are influenced by platelet function as well as platelet count thus displaying the overall platelet aggregability within the blood sample rather than platelet function alone.

摘要

目的

使用强效抗血小板药物需要评估血小板功能。虽然择期病例中的血小板功能通常在中央实验室环境中进行评估,但也迫切需要在围手术期进行即时床边评估。最近,已经开发出了多电极血小板聚集仪,并假设它可以独立于血小板计数来测量血小板功能。我们检验了这样一个假设,即多电极血小板聚集仪的结果受到血小板计数的影响,特别是在血小板计数低于正常范围的情况下。

方法

从 20 名健康志愿者中制备全血样本,其中血小板浓度分别为 50000、100000、150000、200000 和 250000 微升,同时保持血细胞比容。分别用胶原、血栓素受体激活肽 6(TRAP-6)、二磷酸腺苷(ADP)和花生四烯酸诱导血小板聚集,并通过多电极血小板聚集仪(Multiplate)测量聚集。

结果

多电极血小板聚集仪的结果在血小板计数低于正常范围的血样中显著降低。与在血小板计数正常范围内的血样测量结果相比,血小板计数为 100000 和 50000 微升的血样中,聚集仪的结果分别降低了 18.4%(p<0.001)和 37.2%(p<0.001)。另一方面,观察到个体间存在较大的差异,有些血样即使血小板计数为 50000 微升,也显示出正常的结果。

结论

Multiplate. 分析仪的结果受到血小板功能和血小板计数的影响,因此显示了血液样本中的整体血小板聚集能力,而不仅仅是血小板功能。

https://cdn.ncbi.nlm.nih.gov/pmc/blobs/e47c/3352011/31d2b1732c56/2047-783X-15-5-214-1.jpg

文献AI研究员

20分钟写一篇综述,助力文献阅读效率提升50倍。

立即体验

用中文搜PubMed

大模型驱动的PubMed中文搜索引擎

马上搜索

文档翻译

学术文献翻译模型,支持多种主流文档格式。

立即体验