Abergel Eitan, Nikolsky Eugenia
Heart Institute, Rambam Health Care Campus and Technion-Israel Institute of Technology, Haifa, Israel.
Vasc Health Risk Manag. 2010 Oct 21;6:963-77. doi: 10.2147/VHRM.S13263.
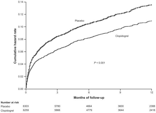
Acute coronary syndromes (ACS) are the leading cause of mortality and one of the main reasons for hospital admissions in the developed nations. Due to high rates of mortality and reinfarction, ACS represent a major public health concern. Platelets play a central role in atherothrombosis, the main pathologic substrate in ACS. Sufficient inhibition of platelet aggregation is therefore one of the key targets in the treatment of ACS. Blockade of the P2Y12 subtype of adenosine diphosphate (ADP) receptor on platelet cell membranes has been established as a key mechanism of platelet inhibition. Clopidogrel, an ADP receptor antagonist and a second-generation thienopyridine, has been demonstrated to be of clinical benefit in patients with ACS when added to aspirin. A delayed onset of action due to two-step conversion to the active metabolite, irreversible binding to P2Y12 receptors, and broad interindividual variability in levels of platelet response are the main limitations of clopidogrel. Prasugrel, a novel third-generation thienopyridine, provides faster and stronger inhibition of platelet aggregation than clopigodrel. However, like the active metabolite of clopidogrel, prasugrel binds irreversibly to the P2Y12 ADP receptor site, causing inhibition of platelet aggregation for the life of the platelet. Although in a randomized, double-blind trial prasugrel demonstrated superiority for multiple cardiovascular endpoints compared with standard-dose clopidogrel, it was also associated with an increased bleeding risk, including fatal bleeding. This review discusses the optimal antiplatelet regimens for management of patients with ACS, with special focus on ticagrelor, the first oral agent in a new chemical class of nonthienopyridine antiplatelet agents termed cyclopentyltriazolo-pyrimidines. Faster and greater platelet inhibition than clopidogrel, quick recovery of platelet function, and high efficacy regardless of clopidogrel response status, are the obvious advantages of ticagrelor as compared with thienopyridines. The prospective, randomized Platelet Inhibition and Patient Outcomes trial has established the clinical utility, enhanced efficacy, and similar safety of ticagrelor as compared with clopidogrel in a wide range of patients with ACS managed with contemporary antithrombotic therapies and invasive strategies when indicated. Dyspnea, ventricular pauses ≥3 seconds, and elevation of serum creatinine and uric acid are the most common known adverse effects associated with ticagrelor, and require further comprehensive assessment.
急性冠状动脉综合征(ACS)是发达国家死亡的主要原因及住院的主要原因之一。由于死亡率和再梗死率高,ACS成为主要的公共卫生问题。血小板在动脉粥样硬化血栓形成(ACS的主要病理基础)中起核心作用。因此,充分抑制血小板聚集是ACS治疗的关键靶点之一。阻断血小板细胞膜上二磷酸腺苷(ADP)受体的P2Y12亚型已被确认为血小板抑制的关键机制。氯吡格雷是一种ADP受体拮抗剂及第二代噻吩并吡啶类药物,已证明在ACS患者中加用阿司匹林时具有临床益处。由于需两步转化为活性代谢产物导致起效延迟、与P2Y12受体不可逆结合以及血小板反应水平存在广泛个体差异是氯吡格雷的主要局限性。普拉格雷是一种新型第三代噻吩并吡啶类药物,比氯吡格雷能更快、更强地抑制血小板聚集。然而,与氯吡格雷的活性代谢产物一样,普拉格雷与P2Y12 ADP受体位点不可逆结合,导致在血小板的存活期内抑制血小板聚集。尽管在一项随机双盲试验中,与标准剂量氯吡格雷相比,普拉格雷在多个心血管终点方面显示出优越性,但它也与出血风险增加相关,包括致命性出血。本综述讨论了ACS患者管理的最佳抗血小板方案,特别关注替格瑞洛,它是新型非噻吩并吡啶类抗血小板药物化学类别(环戊基三唑并嘧啶类)中的首个口服药物。与噻吩并吡啶类药物相比,替格瑞洛具有比氯吡格雷更快、更强的血小板抑制作用、血小板功能快速恢复以及无论氯吡格雷反应状态如何均具有高效性等明显优势。前瞻性随机血小板抑制和患者预后试验已证实,在采用当代抗栓治疗和必要时采用侵入性策略管理的广泛ACS患者中,与氯吡格雷相比,替格瑞洛具有临床实用性、增强的疗效和相似的安全性。呼吸困难、心室停搏≥3秒以及血清肌酐和尿酸升高是与替格瑞洛相关的最常见已知不良反应,需要进一步全面评估。