Suppr超能文献

通过喂食 dsRNA 对成年桔小实蝇的四个基因进行 RNA 干扰。

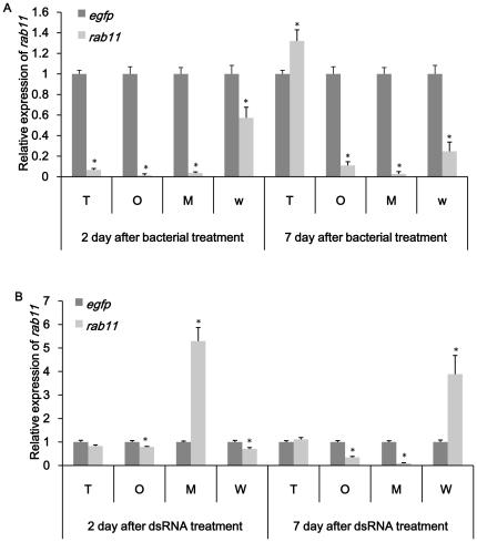
RNA interference of four genes in adult Bactrocera dorsalis by feeding their dsRNAs.

机构信息

Hubei Key Laboratory of Insect Resource Application and Sustainable Pest Control and Institute of Urban and Horticultural Pests, College of Plant Science and Technology, Huazhong Agricultural University, Wuhan, Hubei, People's Republic of China.

出版信息

PLoS One. 2011 Mar 18;6(3):e17788. doi: 10.1371/journal.pone.0017788.

Abstract

BACKGROUND

RNA interference (RNAi) is a powerful method to inhibit gene expression in a sequence specific manner. Recently silencing the target gene through feeding has been successfully carried out in many insect species.

METHODOLOGY/PRINCIPAL FINDINGS: Escherichia coli strain HT115 was genetically engineered to express dsRNA targeting genes that encode ribosomal protein Rpl19, V type ATPase D subunit, the fatty acid elongase Noa and a small GTPase Rab11. qRT-PCR showed that mRNA level of four target genes was reduced compared to ds-egfp control by feeding either engineered bacteria or dsRNAs. The maximum down-regulation of each gene varied from 35% to 100%. Tissue specific examination indicated that RNAi could be observed not only in midgut but also in other tissues like the ovary, nervous system and fat body. Silencing of rab11 through ingestion of dsRNA killed 20% of adult flies. Egg production was affected through feeding ds-noa and ds-rab11 compared to ds-egfp group. Adult flies were continuously fed with dsRNA and bacteria expressing dsRNA for 14 days and up-regulations of target genes were observed during this process. The transcripts of noa showed up-regulation compared to ds-egfp control group in four tissues on day 7 after continuous feeding either dsRNA or engineered bacteria. The maximum over-expression is 21 times compared to ds-egfp control group. Up-regulation of rab11 mRNA level could be observed in testes on day 7 after continuous bacteria treatment and in midgut on day 2 after ds-rab11 treatment. This phenomenon could also be observed in rpl19 groups.

CONCLUSIONS

Our results suggested that it is feasible to silence genes by feeding dsRNA and bacteria expressing dsRNA in Bactrocera dorsalis. Additionally the over-expression of the target gene after continuously feeding dsRNA or bacteria was observed.

摘要

背景

RNA 干扰(RNAi)是一种以序列特异性方式抑制基因表达的强大方法。最近,通过喂食成功地在许多昆虫物种中沉默了靶基因。

方法/主要发现:大肠杆菌菌株 HT115 经过基因工程改造,表达靶向编码核糖体蛋白 Rpl19、V 型 ATP 酶 D 亚基、脂肪酸延长酶 Noa 和小 GTPase Rab11 的 dsRNA。qRT-PCR 显示,与 ds-egfp 对照相比,通过喂食工程菌或 dsRNA,四个靶基因的 mRNA 水平均降低。每个基因的最大下调幅度从 35%到 100%不等。组织特异性检查表明,RNAi 不仅可以在中肠观察到,也可以在卵巢、神经系统和脂肪体等其他组织中观察到。通过摄入 dsRNA 沉默 rab11 会导致 20%的成年果蝇死亡。与 ds-egfp 组相比,ds-noa 和 ds-rab11 的喂食会影响产卵。连续 14 天用 dsRNA 和表达 dsRNA 的细菌喂养成年果蝇,在此过程中观察到靶基因的上调。在连续喂食 dsRNA 或工程菌 7 天后,与 ds-egfp 对照组相比,noa 的转录本在四个组织中上调。与 ds-egfp 对照组相比,最大上调倍数为 21 倍。在连续细菌处理 7 天后可以观察到 rab11 mRNA 水平在睾丸中的上调,在 ds-rab11 处理后 2 天可以观察到在中肠中的上调。这种现象也可以在 rpl19 组中观察到。

结论

我们的结果表明,通过喂食 dsRNA 和表达 dsRNA 的细菌在桔小实蝇中沉默基因是可行的。此外,还观察到连续喂食 dsRNA 或细菌后靶基因的过表达。

https://cdn.ncbi.nlm.nih.gov/pmc/blobs/fc16/3060817/1bd2ee4e3cac/pone.0017788.g001.jpg

文献AI研究员

20分钟写一篇综述,助力文献阅读效率提升50倍。

立即体验

用中文搜PubMed

大模型驱动的PubMed中文搜索引擎

马上搜索

文档翻译

学术文献翻译模型,支持多种主流文档格式。

立即体验