Suppr超能文献

在芯片上通过酶化学合成唾液寡糖以研究细胞表面黏附。

Chemoenzymatic synthesis of sialooligosaccharides on arrays for studies of cell surface adhesion.

机构信息

Manchester Interdisciplinary Biocentre & School of Chemistry, The University of Manchester, 131 Princess Street, Manchester, M1 7DN, UK.

出版信息

Chem Commun (Camb). 2011 May 21;47(19):5425-7. doi: 10.1039/c1cc10745c. Epub 2011 Apr 5.

Abstract

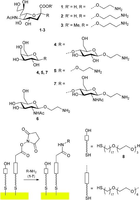
Sialooligosaccharides were generated by direct enzymatic glycosylation on arrays and the resulting surfaces were suitable for the study of carbohydrate-specific cell adhesion.

摘要

唾液低聚糖通过在阵列上直接酶促糖基化生成,所得表面适用于研究碳水化合物特异性细胞黏附。

https://cdn.ncbi.nlm.nih.gov/pmc/blobs/e73a/3252816/1297504297b3/c1cc10745c-f1.jpg

文献AI研究员

20分钟写一篇综述,助力文献阅读效率提升50倍。

立即体验

用中文搜PubMed

大模型驱动的PubMed中文搜索引擎

马上搜索

文档翻译

学术文献翻译模型,支持多种主流文档格式。

立即体验