Suppr超能文献

从 6-氯-4-羟基色原酮-2-酮和丙炔醇快速生成新型 2-亚甲基-2,3-二氢呋喃并[3,2-c]色烯-2-酮。

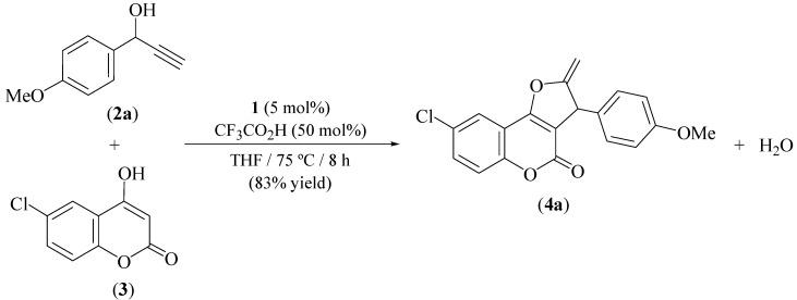
Expeditious entry to novel 2-methylene-2,3-dihydrofuro[3,2-c] chromen-2-ones from 6-chloro-4-hydroxychromen-2-one and propargylic alcohols.

机构信息

Departamento de Química Orgánica e Inorgánica, IUQOEM-CSIC, Facultad de Química, Universidad de Oviedo, E-33071 Oviedo, Spain.

出版信息

Molecules. 2011 Aug 2;16(8):6470-80. doi: 10.3390/molecules16086470.

Abstract

A catalytic system consisting of the ruthenium(II) complex [Ru(η³-2-C3H4Me)(CO)(dppf)][SbF6] (dppf=1,1'-bis(diphenylphosphino)ferrocene) and trifluoroacetic acid has been used to promote the coupling of secondary propargylic alcohols with 6-chloro-4-hydroxychromen-2-one. The reactions afforded unusual 2-methylene-2,3-dihydrofuro[3,2-c]chromen-2-ones in good yields.

摘要

一个由钌(II)配合物[Ru(η³-2-C3H4Me)(CO)(dppf)][SbF6](dppf=1,1'-双(二苯基膦)二茂铁)和三氟乙酸组成的催化体系被用于促进仲炔丙醇与 6-氯-4-羟基色满-2-酮的偶联反应。该反应以良好的收率得到了不寻常的 2-亚甲基-2,3-二氢呋喃并[3,2-c]色满-2-酮。

https://cdn.ncbi.nlm.nih.gov/pmc/blobs/01c3/6264367/386c2fdc4712/molecules-16-06470-g001.jpg

文献AI研究员

20分钟写一篇综述,助力文献阅读效率提升50倍。

立即体验

用中文搜PubMed

大模型驱动的PubMed中文搜索引擎

马上搜索

文档翻译

学术文献翻译模型,支持多种主流文档格式。

立即体验