Suppr超能文献

西尼罗河病毒的遗传多样性通过库蚊传播得以维持。

West Nile virus genetic diversity is maintained during transmission by Culex pipiens quinquefasciatus mosquitoes.

机构信息

Department of Pathology, University of New Mexico School of Medicine, Albuquerque, New Mexico, United States of America.

出版信息

PLoS One. 2011;6(9):e24466. doi: 10.1371/journal.pone.0024466. Epub 2011 Sep 12.

Abstract

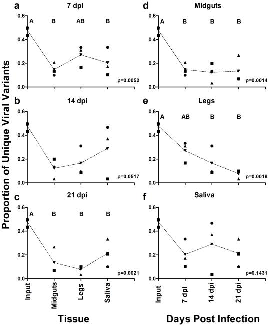
Due to error-prone replication, RNA viruses exist within hosts as a heterogeneous population of non-identical, but related viral variants. These populations may undergo bottlenecks during transmission that stochastically reduce variability leading to fitness declines. Such bottlenecks have been documented for several single-host RNA viruses, but their role in the population biology of obligate two-host viruses such as arthropod-borne viruses (arboviruses) in vivo is unclear, but of central importance in understanding arbovirus persistence and emergence. Therefore, we tracked the composition of West Nile virus (WNV; Flaviviridae, Flavivirus) populations during infection of the vector mosquito, Culex pipiens quinquefasciatus to determine whether WNV populations undergo bottlenecks during transmission by this host. Quantitative, qualitative and phylogenetic analyses of WNV sequences in mosquito midguts, hemolymph and saliva failed to document reductions in genetic diversity during mosquito infection. Further, migration analysis of individual viral variants revealed that while there was some evidence of compartmentalization, anatomical barriers do not impose genetic bottlenecks on WNV populations. Together, these data suggest that the complexity of WNV populations are not significantly diminished during the extrinsic incubation period of mosquitoes.

摘要

由于复制易错,RNA 病毒在宿主中作为非同质的、但相关的病毒变体群体存在。这些群体在传播过程中可能会经历瓶颈,随机降低变异性,导致适应性下降。已经有文献记录了几种单宿主 RNA 病毒的这种瓶颈,但它们在节肢动物传播病毒(arboviruses)等专性两宿主病毒的种群生物学中的作用尚不清楚,但对于理解 arboviruses 的持久性和出现至关重要。因此,我们跟踪了西尼罗河病毒(WNV;Flaviviridae,Flavivirus)在传播媒介蚊子(Culex pipiens quinquefasciatus)感染期间的种群组成,以确定 WNV 种群在这种宿主的传播过程中是否经历瓶颈。对蚊子中肠、血淋巴和唾液中的 WNV 序列进行定量、定性和系统发育分析,未能证明在蚊子感染过程中遗传多样性减少。此外,对个体病毒变体的迁移分析表明,尽管有一些证据表明存在区室化,但解剖学屏障不会对 WNV 种群施加遗传瓶颈。这些数据表明,WNV 种群的复杂性在蚊子的外潜伏期内没有明显降低。

https://cdn.ncbi.nlm.nih.gov/pmc/blobs/b819/3171416/73c3e2c37042/pone.0024466.g001.jpg

文献AI研究员

20分钟写一篇综述,助力文献阅读效率提升50倍。

立即体验

用中文搜PubMed

大模型驱动的PubMed中文搜索引擎

马上搜索

文档翻译

学术文献翻译模型,支持多种主流文档格式。

立即体验