Suppr超能文献

血清基础抗苗勒管激素水平与体外受精后人类囊胚发育的双变量分析。

Bivariate analysis of basal serum anti-Müllerian hormone measurements and human blastocyst development after IVF.

机构信息

Division of Reproductive Endocrinology, Pacific Reproductive Center, Irvine, California, USA.

出版信息

Reprod Biol Endocrinol. 2011 Dec 2;9:153. doi: 10.1186/1477-7827-9-153.

Abstract

BACKGROUND

To report on relationships among baseline serum anti-Müllerian hormone (AMH) measurements, blastocyst development and other selected embryology parameters observed in non-donor oocyte IVF cycles.

METHODS

Pre-treatment AMH was measured in patients undergoing IVF (n = 79) and retrospectively correlated to in vitro embryo development noted during culture.

RESULTS

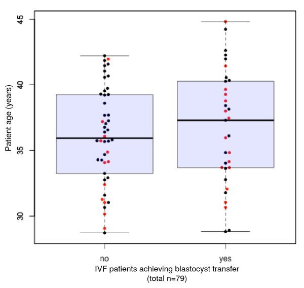
Mean (+/- SD) age for study patients in this study group was 36.3 ± 4.0 (range = 28-45) yrs, and mean (+/- SD) terminal serum estradiol during IVF was 5929 +/- 4056 pmol/l. A moderate positive correlation (0.49; 95% CI 0.31 to 0.65) was noted between basal serum AMH and number of MII oocytes retrieved. Similarly, a moderate positive correlation (0.44) was observed between serum AMH and number of early cleavage-stage embryos (95% CI 0.24 to 0.61), suggesting a relationship between serum AMH and embryo development in IVF. Of note, serum AMH levels at baseline were significantly different for patients who did and did not undergo blastocyst transfer (15.6 vs. 10.9 pmol/l; p = 0.029).

CONCLUSIONS

While serum AMH has found increasing application as a predictor of ovarian reserve for patients prior to IVF, its roles to estimate in vitro embryo morphology and potential to advance to blastocyst stage have not been extensively investigated. These data suggest that baseline serum AMH determinations can help forecast blastocyst developmental during IVF. Serum AMH measured before treatment may assist patients, clinicians and embryologists as scheduling of embryo transfer is outlined. Additional studies are needed to confirm these correlations and to better define the role of baseline serum AMH level in the prediction of blastocyst formation.

摘要

背景

报告非供卵者体外受精(IVF)周期中基础血清抗苗勒管激素(AMH)测量值、囊胚发育和其他选定的胚胎学参数之间的关系。

方法

对接受 IVF 的患者(n=79)进行预处理 AMH 测量,并回顾性分析培养过程中观察到的体外胚胎发育情况。

结果

本研究组患者的平均(+/-SD)年龄为 36.3±4.0(范围=28-45)岁,IVF 期间血清雌二醇终值的平均(+/-SD)为 5929+/-4056pmol/l。基础血清 AMH 与获卵数呈中度正相关(0.49;95%置信区间 0.31 至 0.65)。同样,血清 AMH 与早期卵裂期胚胎数之间观察到中度正相关(0.44)(95%置信区间 0.24 至 0.61),提示血清 AMH 与 IVF 中胚胎发育之间存在关系。值得注意的是,行或不行囊胚移植的患者的基础血清 AMH 水平有显著差异(15.6 与 10.9pmol/l;p=0.029)。

结论

虽然血清 AMH 在 IVF 前作为预测卵巢储备的指标得到了越来越多的应用,但它对体外胚胎形态的估计及其向囊胚阶段发展的潜力尚未得到广泛研究。这些数据表明,基础血清 AMH 测定有助于预测 IVF 期间的囊胚发育。治疗前测量的血清 AMH 可帮助患者、临床医生和胚胎学家制定胚胎移植计划。需要进一步的研究来确认这些相关性,并更好地定义基础血清 AMH 水平在预测囊胚形成中的作用。

https://cdn.ncbi.nlm.nih.gov/pmc/blobs/c7a7/3241207/dc3769c5d616/1477-7827-9-153-1.jpg

文献AI研究员

20分钟写一篇综述,助力文献阅读效率提升50倍。

立即体验

用中文搜PubMed

大模型驱动的PubMed中文搜索引擎

马上搜索

文档翻译

学术文献翻译模型,支持多种主流文档格式。

立即体验