Suppr超能文献

棕榈酸和亚油酸诱导肝癌细胞内质网应激和细胞凋亡。

Palmitic and linoleic acids induce ER stress and apoptosis in hepatoma cells.

机构信息

Anesthesia Department, the Second Affiliated Hospital of Xi'an Jiaotong University, No, 157, West 5th Road, Xi'an, Shaanxi Province-710004, China.

出版信息

Lipids Health Dis. 2012 Jan 5;11:1. doi: 10.1186/1476-511X-11-1.

Abstract

OBJECTIVES

Hepatic inflammation and degeneration induced by lipid depositions may be the major cause of nonalcoholic fatty liver disease. In this study, we tried to investigate the effects of saturated and unsaturated fatty acids on hepatoma cell apoptosis.

METHODS

H4IIE liver cells were treated with palmitic acid, linoleic acid, or both with or without the calcium-specific chelator BAPTA-AM after which the expression of proteins associated with endoplasmic reticulum (ER) stress, apoptosis, caspase-3 levels, and calcium flux were measured.

RESULTS

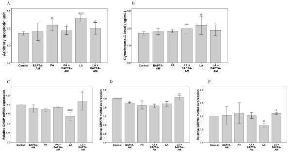
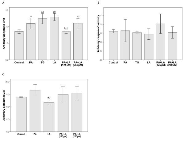
Palmitic or linoleic acid (250 μM) induced H4IIE cell apoptosis, which required calcium flux but not caspase-3. Apoptosis was not observed when cells were co-treated with linoleic acid (125 μM) and palmitic acid (250 μM). Importantly, the release of cytochrome C from mitochondria into cytoplasm during cell apoptosis was specifically detected only when linoleic acid (125 μM), but not palmitic acid (250 μM), was added to the cells. Depletion of intracellular calcium flux by the calcium-specific chelator, BAPTA-AM, abolished linoleic acid-induced apoptosis. Moreover, in the presence of BAPTA-AM, expression of the unfolded protein response (UPR)-associated genes, CHOP, GRP78, and GRP94, was induced by linoleic acid, but not palmitic acid.

CONCLUSIONS

The results suggest that linoleic acid promotes cell apoptosis through the release of cytochrome C, only if the intracellular calcium flux is unperturbed and intact. These results confirm that ER stress contributes to fatty acid-induced liver cell apoptosis.

摘要

目的

脂质沉积引起的肝炎症和变性可能是非酒精性脂肪性肝病的主要原因。在本研究中,我们试图研究饱和和不饱和脂肪酸对肝癌细胞凋亡的影响。

方法

用棕榈酸、亚油酸或两者与钙特异性螯合剂 BAPTA-AM 一起处理 H4IIE 肝细胞,然后测量与内质网(ER)应激、凋亡、caspase-3 水平和钙流相关的蛋白表达。

结果

棕榈酸或亚油酸(250 μM)诱导 H4IIE 细胞凋亡,这需要钙流但不需要 caspase-3。当细胞同时用亚油酸(125 μM)和棕榈酸(250 μM)处理时,未观察到细胞凋亡。重要的是,只有当向细胞中添加亚油酸(125 μM)而不是棕榈酸(250 μM)时,才会特异性检测到细胞凋亡过程中线粒体中细胞色素 C 向细胞质的释放。钙特异性螯合剂 BAPTA-AM 耗尽细胞内钙流会消除亚油酸诱导的细胞凋亡。此外,在 BAPTA-AM 的存在下,亚油酸而非棕榈酸诱导了未折叠蛋白反应(UPR)相关基因 CHOP、GRP78 和 GRP94 的表达。

结论

这些结果表明,只有在细胞内钙流不受干扰和完整的情况下,亚油酸才能通过释放细胞色素 C 来促进细胞凋亡。这些结果证实 ER 应激有助于脂肪酸诱导的肝细凋亡。

https://cdn.ncbi.nlm.nih.gov/pmc/blobs/39b7/3306830/b479b63313f4/1476-511X-11-1-1.jpg

文献AI研究员

20分钟写一篇综述,助力文献阅读效率提升50倍。

立即体验

用中文搜PubMed

大模型驱动的PubMed中文搜索引擎

马上搜索

文档翻译

学术文献翻译模型,支持多种主流文档格式。

立即体验