Suppr超能文献

初级传入通路中脑源性神经营养因子的上调调节大鼠结肠至膀胱的交叉敏感化。

Up-regulation of brain-derived neurotrophic factor in primary afferent pathway regulates colon-to-bladder cross-sensitization in rat.

机构信息

Department of Physiology, Virginia Commonwealth University School of Medicine, 1220 East Broad Street, PO Box 0551, MMRB 5038, VA 23219 Richmond, Virginia, USA.

出版信息

J Neuroinflammation. 2012 Feb 15;9:30. doi: 10.1186/1742-2094-9-30.

Abstract

BACKGROUND

In humans, inflammation of either the urinary bladder or the distal colon often results in sensory cross-sensitization between these organs. Limited information is known about the mechanisms underlying this clinical syndrome. Studies with animal models have demonstrated that activation of primary afferent pathways may have a role in mediating viscero-visceral cross-organ sensitization.

METHODS

Colonic inflammation was induced by a single dose of tri-nitrobenzene sulfonic acid (TNBS) instilled intracolonically. The histology of the colon and the urinary bladder was examined by hematoxylin and eosin (H&E) stain. The protein expression of transient receptor potential (TRP) ion channel of the vanilloid type 1 (TRPV1) and brain-derived neurotrophic factor (BDNF) were examined by immunohistochemistry and/or western blot. The inter-micturition intervals and the quantity of urine voided were obtained from analysis of cystometrograms.

RESULTS

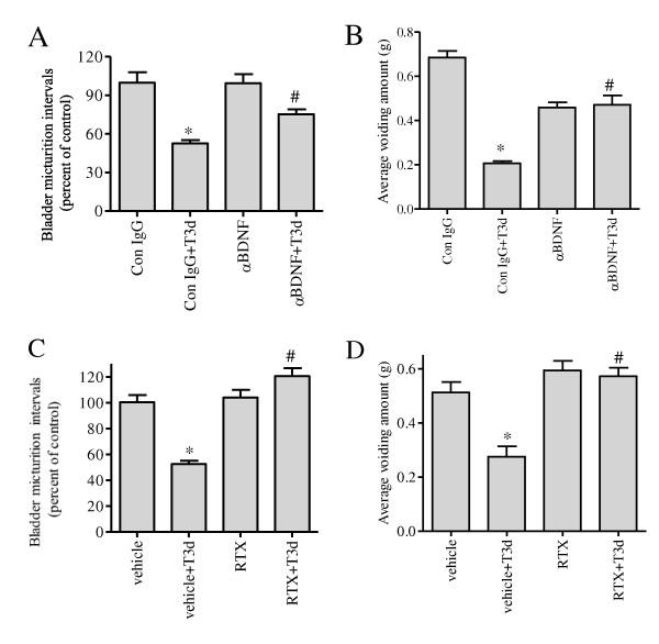
At 3 days post TNBS treatment, the protein level of TRPV1 was increased by 2-fold (p < 0.05) in the inflamed distal colon when examined with western blot. TRPV1 was mainly expressed in the axonal terminals in submucosal area of the distal colon, and was co-localized with the neural marker PGP9.5. In sensory neurons in the dorsal root ganglia (DRG), BDNF expression was augmented by colonic inflammation examined in the L1 DRG, and was expressed in TRPV1 positive neurons. The elevated level of BDNF in L1 DRG by colonic inflammation was blunted by prolonged pre-treatment of the animals with the neurotoxin resiniferatoxin (RTX). Colonic inflammation did not alter either the morphology of the urinary bladder or the expression level of TRPV1 in this viscus. However, colonic inflammation decreased the inter-micturition intervals and decreased the quantities of urine voided. The increased bladder activity by colonic inflammation was attenuated by prolonged intraluminal treatment with RTX or treatment with intrathecal BDNF neutralizing antibody.

CONCLUSION

Acute colonic inflammation increases bladder activity without affecting bladder morphology. Primary afferent-mediated BDNF up-regulation in the sensory neurons regulates, at least in part, the bladder activity during colonic inflammation.

摘要

背景

在人类中,膀胱或远端结肠的炎症通常会导致这些器官之间的感觉交叉敏感化。关于这种临床综合征的机制知之甚少。动物模型研究表明,初级传入途径的激活可能在介导内脏-内脏交叉器官敏化中起作用。

方法

通过单次给予三硝基苯磺酸(TNBS)腔内灌注诱导结肠炎症。通过苏木精和伊红(H&E)染色检查结肠和膀胱的组织学。通过免疫组织化学和/或western blot 检查香草醛型 1(TRPV1)和脑源性神经营养因子(BDNF)的瞬时受体电位(TRP)离子通道的蛋白表达。通过分析尿动力学图获得排尿间隔和排尿量。

结果

在 TNBS 处理后 3 天,用 western blot 检查时,炎性远端结肠中 TRPV1 的蛋白水平增加了 2 倍(p <0.05)。TRPV1 主要表达在粘膜下区域的轴突末端,并且与神经标记物 PGP9.5 共定位。在背根神经节(DRG)中的感觉神经元中,结肠炎症引起 L1 DRG 中 BDNF 表达增加,并在 TRPV1 阳性神经元中表达。结肠炎症引起的 L1 DRG 中 BDNF 水平升高被神经毒素瑞替加滨(RTX)的长时间预处理减弱。结肠炎症未改变膀胱的形态或该内脏中 TRPV1 的表达水平。然而,结肠炎症减少了排尿间隔并减少了排尿量。结肠炎症引起的膀胱活动增加被长时间腔内 RTX 处理或鞘内给予 BDNF 中和抗体所减弱。

结论

急性结肠炎症增加膀胱活动而不影响膀胱形态。感觉神经元中初级传入介导的 BDNF 上调至少部分调节结肠炎症期间的膀胱活动。

https://cdn.ncbi.nlm.nih.gov/pmc/blobs/0181/3298724/cb211449982e/1742-2094-9-30-1.jpg

文献AI研究员

20分钟写一篇综述,助力文献阅读效率提升50倍。

立即体验

用中文搜PubMed

大模型驱动的PubMed中文搜索引擎

马上搜索

文档翻译

学术文献翻译模型,支持多种主流文档格式。

立即体验