Suppr超能文献

疟疾化疗中的胆碱类似物。

Choline analogues in malaria chemotherapy.

机构信息

Institut des Biomolécules Max Mousseron, UMR 5247 CNRS-UM1-UM2, Université Montpellier 2, place E. Bataillon, 34095 Montpellier, France.

出版信息

Curr Pharm Des. 2012;18(24):3454-66. doi: 10.2174/138161212801327338.

Abstract

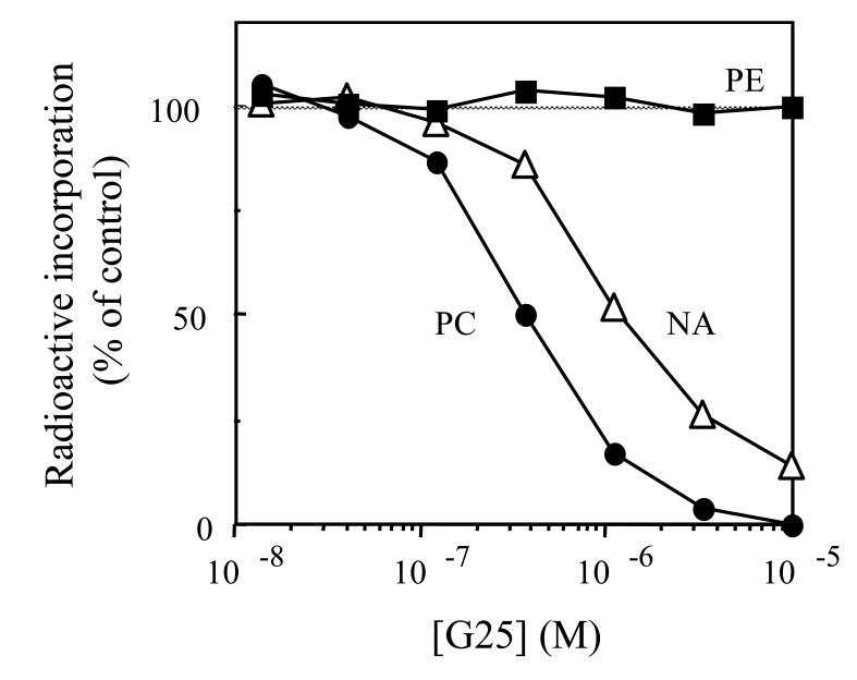
Emerging resistance against well-established anti-malaria drugs warrants the introduction of new therapeutic agents with original mechanisms of action. Inhibition of membrane-based phospholipid biosynthesis, which is crucial for the parasite, has thus been proposed as a novel and promising therapeutic strategy. This review compiles literature concerning the design and study of choline analogues and related cation derivatives as potential anti-malarials. It covers advances achieved over the last two decades and describes: the concept validation, the design and selection of a clinical candidate (Albitiazolium), back-up derivatives while also providing insight into the development of prodrug approaches.

摘要

针对现有抗疟药物的耐药性不断出现,这就需要引入具有全新作用机制的新型治疗药物。因此,抑制对寄生虫至关重要的膜结合磷脂生物合成已被提议作为一种新颖而有前途的治疗策略。本综述汇集了有关胆堿类似物和相关阳离子衍生物作为潜在抗疟药物的设计和研究的文献。它涵盖了过去二十年中所取得的进展,并描述了概念验证、临床候选药物(Albitiazolium)的设计和选择、后备衍生物,同时还深入探讨了前药方法的发展。

https://cdn.ncbi.nlm.nih.gov/pmc/blobs/54a0/3480700/36ed8ab7a7b0/CPD-18-3454_F1.jpg

文献AI研究员

20分钟写一篇综述,助力文献阅读效率提升50倍。

立即体验

用中文搜PubMed

大模型驱动的PubMed中文搜索引擎

马上搜索

文档翻译

学术文献翻译模型,支持多种主流文档格式。

立即体验