School of Chinese Materia Medica, Beijing University of Chinese Medicine, Beijing 100102, PR China.
BMC Complement Altern Med. 2012 Nov 21;12:223. doi: 10.1186/1472-6882-12-223.
Compound Valeriana jatamansi Jones is a formula for treating anxiety-related diseases in the clinic, which is composed of Valeriana jatamansi Rhizoma et Radix, Ziziphi Spinosae Semen, Albiziae Cortex and Junci Medulla. The purpose of this study was to explore the anxiolytic properties of this compound in mice.
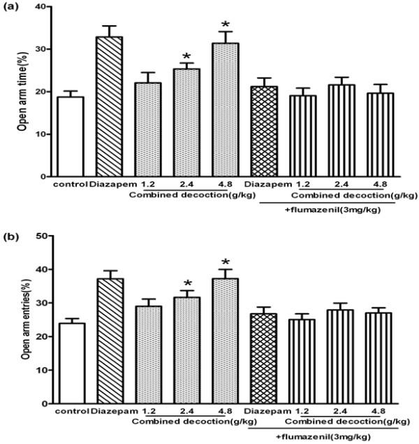
Male ICR mice were treated with compound Valerianae Jatamansi Jones (1.2 g/kg, 2.4 g/kg, 4.8 g/kg), saline, diazepam (2 mg/kg) orally for 10 days and then exposed to elevated maze-plus (EPM) and light-dark box (LDB). The effects of the compound on spontaneous activity were evaluated by locomotor activity test. We further investigated the mechanism of action underlying the anxiolytic-like effect of compound by pre-treating animals with antagonists of benzodiazepine (flumazenil, 3mg/kg) prior to evaluation using EPM and LDB.
Compound Valerianae Jatamansi Jones (2.4, 4.8 g/kg, p.o.) significantly increased entries (P<0.05) into and time spent (P<0.05) on the open arms of the EPM, and number of transitions (P<0.05) and time spent (P<0.05) in the light compartment of the LDB. However, the anxiolytic-like effects of compound were significantly reduced by pre-treatment with flumazenil (P>0.05). In addition, compound Valerianae Jatamansi Jones treatment didn't affect the spontaneous activity in mice (P> 0.05).
The present study supports the hypothesis that compound Valeriana jatamansi Jones exert anxiolytic action but no sedative effects in mice and that this effect might be mediated by benzodiazepine receptors.
复方缬草贯众是一种用于治疗临床焦虑相关疾病的方剂,由缬草、酸枣仁、合欢皮和木通组成。本研究旨在探讨该复方制剂在小鼠体内的抗焦虑作用。
雄性 ICR 小鼠灌胃给予复方缬草贯众(1.2、2.4、4.8 g/kg)、生理盐水、地西泮(2 mg/kg),连续 10 天,然后暴露于高架十字迷宫(EPM)和明暗箱(LDB)中。通过自发活动测试评估化合物对运动活性的影响。进一步通过在 EPM 和 LDB 评价前用苯二氮䓬类拮抗剂氟马西尼(3mg/kg)预处理动物,研究该复方制剂抗焦虑样作用的作用机制。
复方缬草贯众(2.4、4.8 g/kg,po)显著增加 EPM 中进入开放臂的次数(P<0.05)和在开放臂的停留时间(P<0.05),以及 LDB 中进入亮室的次数(P<0.05)和在亮室的停留时间(P<0.05)。然而,氟马西尼预处理显著降低了复方的抗焦虑样作用(P>0.05)。此外,复方缬草贯众治疗并不影响小鼠的自发活动(P>0.05)。
本研究支持复方缬草贯众在小鼠体内具有抗焦虑作用而无镇静作用的假说,并且这种作用可能是通过苯二氮䓬受体介导的。