Suppr超能文献

通过自动对准实现的微结构光纤内的酶活性测定。

Enzyme activity assays within microstructured optical fibers enabled by automated alignment.

作者信息

Warren-Smith Stephen C, Nie Guiying, Schartner Erik P, Salamonsen Lois A, Monro Tanya M

机构信息

Institute for Photonics & Advanced Sensing (IPAS) and School of Chemistry & Physics, The University of Adelaide, South Australia 5005, Australia.

出版信息

Biomed Opt Express. 2012 Dec 1;3(12):3304-13. doi: 10.1364/BOE.3.003304. Epub 2012 Nov 20.

Abstract

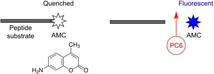
A fluorescence-based enzyme activity assay has been demonstrated within a small-core microstructured optical fiber (MOF) for the first time. To achieve this, a reflection-based automated alignment system has been developed, which uses feedback and piezoelectric actuators to maintain optical alignment. The auto-alignment system provides optical stability for the time required to perform an activity assay. The chosen assay is based on the enzyme proprotein convertase 5/6 (PC6) and has important applications in women's health.

摘要

首次在小芯微结构光纤(MOF)内展示了基于荧光的酶活性测定。为此,开发了一种基于反射的自动对准系统,该系统利用反馈和压电致动器来保持光学对准。自动对准系统在进行活性测定所需的时间内提供光学稳定性。所选择的测定基于酶前蛋白转化酶5/6(PC6),并在女性健康方面具有重要应用。

https://cdn.ncbi.nlm.nih.gov/pmc/blobs/6a9e/3521297/7cd9b1bbc800/boe-3-12-3304-g001.jpg

文献AI研究员

20分钟写一篇综述,助力文献阅读效率提升50倍。

立即体验

用中文搜PubMed

大模型驱动的PubMed中文搜索引擎

马上搜索

文档翻译

学术文献翻译模型,支持多种主流文档格式。

立即体验