Suppr超能文献

潜意识突显搜索说明:意识边缘的 EEG 身份和欺骗检测。

Subliminal salience search illustrated: EEG identity and deception detection on the fringe of awareness.

机构信息

Centre for Cognitive Neuroscience and Cognitive Systems (CCNCS), School of Computing, University of Kent, Canterbury, Kent, United Kingdom.

出版信息

PLoS One. 2013;8(1):e54258. doi: 10.1371/journal.pone.0054258. Epub 2013 Jan 23.

Abstract

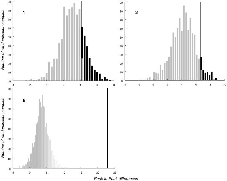
We propose a novel deception detection system based on Rapid Serial Visual Presentation (RSVP). One motivation for the new method is to present stimuli on the fringe of awareness, such that it is more difficult for deceivers to confound the deception test using countermeasures. The proposed system is able to detect identity deception (by using the first names of participants) with a 100% hit rate (at an alpha level of 0.05). To achieve this, we extended the classic Event-Related Potential (ERP) techniques (such as peak-to-peak) by applying Randomisation, a form of Monte Carlo resampling, which we used to detect deception at an individual level. In order to make the deployment of the system simple and rapid, we utilised data from three electrodes only: Fz, Cz and Pz. We then combined data from the three electrodes using Fisher's method so that each participant was assigned a single p-value, which represents the combined probability that a specific participant was being deceptive. We also present subliminal salience search as a general method to determine what participants find salient by detecting breakthrough into conscious awareness using EEG.

摘要

我们提出了一种基于快速序列视觉呈现(RSVP)的新型欺骗检测系统。新方法的动机之一是在意识的边缘呈现刺激,从而使欺骗者更难使用对策混淆欺骗测试。所提出的系统能够以 100%的命中率(在 alpha 水平为 0.05 时)检测身份欺骗(使用参与者的名字)。为了实现这一目标,我们通过应用随机化(一种蒙特卡罗重采样形式)扩展了经典的事件相关电位(ERP)技术(如峰到峰),我们使用该技术在个体水平上检测欺骗。为了使系统的部署简单快捷,我们仅使用了三个电极的数据:Fz、Cz 和 Pz。然后,我们使用 Fisher 方法结合三个电极的数据,以便为每个参与者分配一个单一的 p 值,该值表示特定参与者正在欺骗的综合概率。我们还提出了潜意识突显搜索,作为一种通过使用 EEG 检测突破到意识意识来确定参与者认为什么是突出的一般方法。

https://cdn.ncbi.nlm.nih.gov/pmc/blobs/c179/3553137/718a78cc5c60/pone.0054258.g001.jpg

文献AI研究员

20分钟写一篇综述,助力文献阅读效率提升50倍。

立即体验

用中文搜PubMed

大模型驱动的PubMed中文搜索引擎

马上搜索

文档翻译

学术文献翻译模型,支持多种主流文档格式。

立即体验