Suppr超能文献

超声检查在先天性肌性斜颈患儿髋关节发育不良诊断中的应用价值

The utility of ultrasonography for the diagnosis of developmental dysplasia of hip joint in congenital muscular torticollis.

作者信息

Park Hyeng Kue, Kang Eun Young, Lee Sung Hoon, Kim Kyoung Min, Jung A Young, Nam Doo Hyoun

机构信息

Department of Rehabilitation Medicine, Kwangju Christian Hospital, Gwangju, Korea.

出版信息

Ann Rehabil Med. 2013 Feb;37(1):26-32. doi: 10.5535/arm.2013.37.1.26. Epub 2013 Feb 28.

Abstract

OBJECTIVE

To determine whether a routine ultrasonography (US) is necessary for diagnosis of developmental dysplasia of hip (DDH), presenting with congenital muscular torticollis (CMT).

METHODS

Cases of 133 patients (81 males, 52 females) diagnosed as CMT were reviewed, retrospectively. We reviewed the medical charts and diagnostic examination. We also assessed the coincidence of CMT and DDH, and investigated the clinical features of CMT related to DDH.

RESULTS

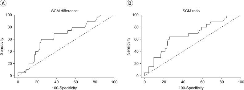
Twenty (15.0%) patients out of 133 CMT patients were diagnosed as having DDH by US. Of whom, 8 patients were radiographically positive and 4 patients were both clinically and radiographically positive. Nine patients were treated with a harness and 1 of them needed closed reduction and casting. Out of 9 patients treated with a harness, only 4 were clinically positive. The difference and ratio of the sternocleidomastoid (SCM) muscle thickness between the normal and abnormal side was significantly greater in DDH patients (p=0.014). Further, receiver operating characteristic analysis showed when the SCM ratio is greater than 2.08 and the SCM difference is greater than 6.1 mm, the efficiency of US for the diagnosis of the DDH was found to be the best (p<0.05).

CONCLUSION

To evaluate DDH, physical examination showed low sensitivity and radiologic study has limitation for the child before 4 to 6 months of age. Therefore, we recommend that hip is screened by US for the diagnosis of DDH associated with CMT when physical examination is positive or CMT patients with large SCM difference and high SCM ratio.

摘要

目的

确定对于表现为先天性肌性斜颈(CMT)的发育性髋关节发育不良(DDH)患者,常规超声检查(US)是否为诊断所必需。

方法

回顾性分析133例诊断为CMT的患者(81例男性,52例女性)。我们查阅了病历和诊断检查资料。我们还评估了CMT与DDH的一致性,并调查了与DDH相关的CMT的临床特征。

结果

133例CMT患者中有20例(15.0%)经超声诊断为DDH。其中,8例X线检查阳性,4例临床和X线检查均阳性。9例患者采用吊带治疗,其中1例需要闭合复位及石膏固定。在9例采用吊带治疗的患者中,只有4例临床检查阳性。DDH患者患侧与健侧胸锁乳突肌(SCM)厚度的差值及比值明显更大(p = 0.014)。此外,受试者工作特征分析显示,当SCM比值大于2.08且SCM差值大于6.1 mm时,超声诊断DDH的效率最佳(p < 0.05)。

结论

对于DDH的评估,体格检查敏感性较低,而影像学检查对于4至6个月龄前的儿童有局限性。因此,我们建议,当体格检查阳性或CMT患者SCM差值大且SCM比值高时,通过超声筛查髋关节以诊断与CMT相关的DDH。

https://cdn.ncbi.nlm.nih.gov/pmc/blobs/cfb4/3604231/262aaa2c11fc/arm-37-26-g001.jpg

文献AI研究员

20分钟写一篇综述,助力文献阅读效率提升50倍。

立即体验

用中文搜PubMed

大模型驱动的PubMed中文搜索引擎

马上搜索

文档翻译

学术文献翻译模型,支持多种主流文档格式。

立即体验