Suppr超能文献

短期接触臭氧不会损害健康年轻男性的血管功能或影响心率变异性。

Short-term exposure to ozone does not impair vascular function or affect heart rate variability in healthy young men.

机构信息

* Department of Public Health and Clinical Medicine, Division of Medicine/Respiratory Medicine, Umeå University, Umeå, Sweden.

出版信息

Toxicol Sci. 2013 Oct;135(2):292-9. doi: 10.1093/toxsci/kft157. Epub 2013 Jul 19.

Abstract

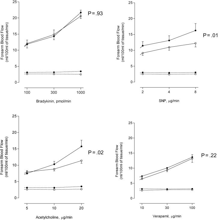
Air pollution exposure is associated with cardiovascular morbidity and mortality, yet the role of individual pollutants remains unclear. In particular, there is uncertainty regarding the acute effect of ozone exposure on cardiovascular disease. In these studies, we aimed to determine the effect of ozone exposure on vascular function, fibrinolysis, and the autonomic regulation of the heart. Thirty-six healthy men were exposed to ozone (300 ppb) and filtered air for 75min on two occasions in randomized double-blind crossover studies. Bilateral forearm blood flow (FBF) was measured using forearm venous occlusion plethysmography before and during intra-arterial infusions of vasodilators 2-4 and 6-8h after each exposure. Heart rhythm and heart rate variability (HRV) were monitored during and 24h after exposure. Compared with filtered air, ozone exposure did not alter heart rate, blood pressure, or resting FBF at either 2 or 6h. There was a dose-dependent increase in FBF with all vasodilators that was similar after both exposures at 2-4h. Ozone exposure did not impair vasomotor or fibrinolytic function at 6-8h but rather increased vasodilatation to acetylcholine (p = .015) and sodium nitroprusside (p = .005). Ozone did not affect measures of HRV during or after the exposure. Our findings do not support a direct rapid effect of ozone on vascular function or cardiac autonomic control although we cannot exclude an effect of chronic exposure or an interaction between ozone and alternative air pollutants that may be responsible for the adverse cardiovascular health effects attributed to ozone.

摘要

空气污染暴露与心血管发病率和死亡率有关,但个别污染物的作用仍不清楚。特别是,臭氧暴露对心血管疾病的急性影响存在不确定性。在这些研究中,我们旨在确定臭氧暴露对血管功能、纤溶和心脏自主调节的影响。

36 名健康男性在随机双盲交叉研究中两次暴露于臭氧(300ppb)和过滤空气中 75 分钟。在每次暴露后 2-4 和 6-8 小时,通过动脉内输注血管扩张剂之前和期间,使用双侧前臂静脉闭塞体积描记术测量双侧前臂血流量(FBF)。在暴露期间和暴露后 24 小时监测心律和心率变异性(HRV)。

与过滤空气相比,臭氧暴露在 2 或 6 小时时均不改变心率、血压或静息 FBF。所有血管扩张剂均引起 FBF 剂量依赖性增加,在 2-4 小时后两种暴露后均相似。臭氧暴露在 6-8 小时时不损害血管舒缩或纤溶功能,但增加了对乙酰胆碱(p=0.015)和硝普钠(p=0.005)的血管扩张作用。臭氧对暴露期间或之后的 HRV 测量没有影响。

我们的研究结果不支持臭氧对血管功能或心脏自主控制的直接快速影响,尽管我们不能排除慢性暴露的影响或臭氧与其他空气污染物之间的相互作用可能是归因于臭氧的不良心血管健康影响的原因。

https://cdn.ncbi.nlm.nih.gov/pmc/blobs/bb92/3807622/7d74d17d41a3/toxsci_kft157_f0001.jpg

文献AI研究员

20分钟写一篇综述,助力文献阅读效率提升50倍。

立即体验

用中文搜PubMed

大模型驱动的PubMed中文搜索引擎

马上搜索

文档翻译

学术文献翻译模型,支持多种主流文档格式。

立即体验