1. Photodynamic Therapy Center, Molecular and Cellular Biophysics and Biochemistry, Cell Stress Biology, Roswell Park Cancer Institute, Buffalo, NY 14263;
Theranostics. 2013 Aug 21;3(9):703-18. doi: 10.7150/thno.5923. eCollection 2013.
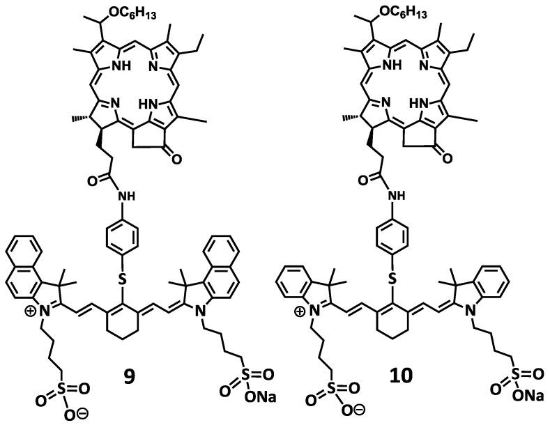
Previous reports from our laboratory have shown that a bifunctional agent obtained by conjugating a photosensitizer (HPPH) to a cyanine dye (CD) can be used for fluorescence image-guided treatment of tumor by photodynamic therapy (PDT). However, the resulting HPPH-CD conjugate showed a significant difference between the tumor-imaging and therapeutic doses. It was demonstrated that the singlet oxygen ( (1) O 2 (*), a key cytotoxic agent in PDT) produced by the conjugate upon excitation of the HPPH moiety was partially quenched by the CD-moiety; this resulted in a reduced PDT response when compared to HPPH-PDT under similar treatment parameters. To improve the therapeutic potential of the conjugate, we synthesized a series of dual functional agents in which one or two HPPH moieties were separately conjugated to three different dyes (Cypate, modified IR820 or modified IR783). The newly synthesized conjugates were compared with our lead compound HPPH-CD in terms of photophysical properties, in vitro and in vivo PDT efficacy, tumor uptake and imaging potential. Among the analogs investigated, the conjugate, in which two HPPH moieties were linked to the modified IR820 produced enhanced tumor uptake and tumor contrast in both Colon 26 (a murine Colon carcinoma) and U87 (a human glioblastoma) cell lines. The long-term PDT efficacy (cure) of this conjugate in BALB/c mice, bearing Colon 26 tumors was also enhanced; however, its efficacy in Nude mice bearing U87 tumors was slightly reduced. It was also found that in all the conjugates the singlet oxygen generation and, consequently, PDT efficacy were compromised by a competing pathway, whereby an electronic excitation of HPPH, the energy donor, is deactivated through an electronic excitation energy transfer (Forster Resonance Energy Transfer, FRET) to the CD fluorophore, the energy acceptor, resulting in overall reduction of the singlet oxygen production. Conjugates with increased FRET showed reduced singlet oxygen production and PDT efficacy. Among the conjugates investigated, the bifunctional agent in which two HPPH moieties were linked to the benzoindole-based cyanine dye 11 showed superiority over the lead candidate 9 (mono HPPH-cyanine dye).
先前,我们实验室的报告显示,将光敏剂(HPPH)与菁染料(CD)偶联得到的双功能试剂可用于荧光成像引导的光动力治疗(PDT)治疗肿瘤。然而,所得的 HPPH-CD 缀合物在肿瘤成像和治疗剂量之间存在显著差异。实验表明,当与类似的治疗参数下的 HPPH-PDT 相比时,该缀合物中 HPPH 部分激发产生的单线态氧((1)O 2 (*),PDT 中的关键细胞毒性剂)部分被 CD 部分猝灭;这导致 PDT 反应降低。为了提高该缀合物的治疗潜力,我们合成了一系列双功能试剂,其中一个或两个 HPPH 部分分别与三种不同的染料(Cypate、修饰的 IR820 或修饰的 IR783)偶联。新合成的缀合物在光物理性质、体外和体内 PDT 疗效、肿瘤摄取和成像潜力方面与我们的先导化合物 HPPH-CD 进行了比较。在所研究的类似物中,将两个 HPPH 部分连接到修饰的 IR820 的缀合物在 Colon 26(一种鼠结肠癌细胞)和 U87(一种人神经胶质瘤细胞)细胞系中均增强了肿瘤摄取和肿瘤对比度。在荷 Colon 26 肿瘤的 BALB/c 小鼠中,该缀合物的长期 PDT 疗效(治愈)也得到了增强;然而,其在荷 U87 肿瘤的 Nude 小鼠中的疗效略有降低。还发现,在所有缀合物中,单线态氧的产生,并且因此 PDT 疗效受到竞争途径的影响,其中供体 HPPH 的电子激发通过电子激发能量转移(Förster 共振能量转移,FRET)失活到能量受体 CD 荧光团,导致单线态氧产生的整体减少。具有增加的 FRET 的缀合物显示出减少的单线态氧产生和 PDT 疗效。在所研究的缀合物中,两个 HPPH 部分连接到苯并吲哚基菁染料 11 的双功能试剂优于先导候选物 9(单 HPPH-菁染料)。