Suppr超能文献

帕金森病患者交替叩击动作的自动和客观评估。

Automatic and objective assessment of alternating tapping performance in Parkinson's disease.

机构信息

School of Technology and Business Studies, Computer Engineering, Dalarna University, Falun SE-791 88, Sweden.

出版信息

Sensors (Basel). 2013 Dec 9;13(12):16965-84. doi: 10.3390/s131216965.

Abstract

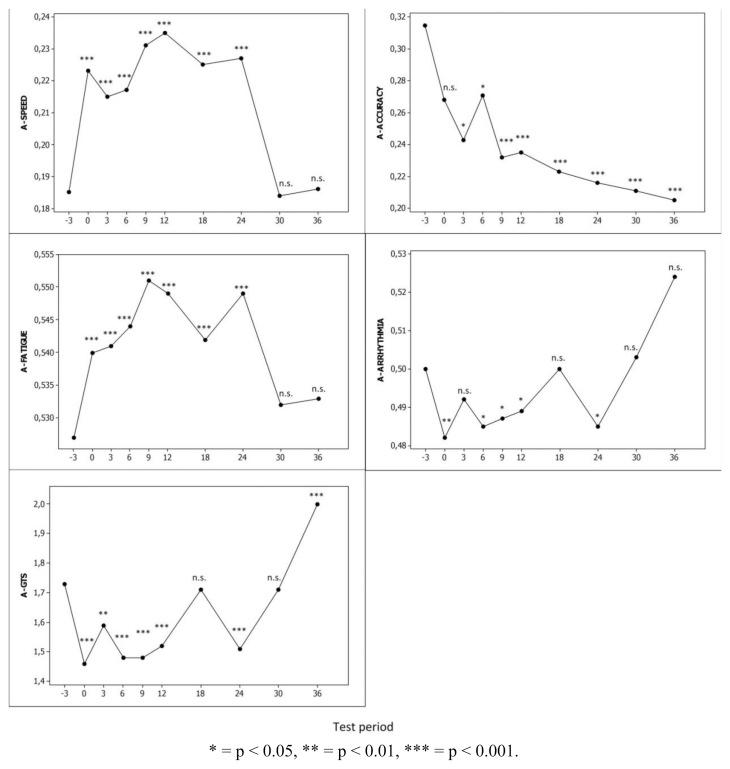
This paper presents the development and evaluation of a method for enabling quantitative and automatic scoring of alternating tapping performance of patients with Parkinson's disease (PD). Ten healthy elderly subjects and 95 patients in different clinical stages of PD have utilized a touch-pad handheld computer to perform alternate tapping tests in their home environments. First, a neurologist used a web-based system to visually assess impairments in four tapping dimensions ('speed', 'accuracy', 'fatigue' and 'arrhythmia') and a global tapping severity (GTS). Second, tapping signals were processed with time series analysis and statistical methods to derive 24 quantitative parameters. Third, principal component analysis was used to reduce the dimensions of these parameters and to obtain scores for the four dimensions. Finally, a logistic regression classifier was trained using a 10-fold stratified cross-validation to map the reduced parameters to the corresponding visually assessed GTS scores. Results showed that the computed scores correlated well to visually assessed scores and were significantly different across Unified Parkinson's Disease Rating Scale scores of upper limb motor performance. In addition, they had good internal consistency, had good ability to discriminate between healthy elderly and patients in different disease stages, had good sensitivity to treatment interventions and could reflect the natural disease progression over time. In conclusion, the automatic method can be useful to objectively assess the tapping performance of PD patients and can be included in telemedicine tools for remote monitoring of tapping.

摘要

本文提出了一种用于对帕金森病(PD)患者交替敲击性能进行定量和自动评分的方法的开发和评估。十名健康的老年受试者和 95 名处于不同临床阶段的 PD 患者使用触摸板手持计算机在其家庭环境中进行交替敲击测试。首先,神经科医生使用基于网络的系统直观地评估四个敲击维度(“速度”、“准确性”、“疲劳”和“心律失常”)和整体敲击严重程度(GTS)的障碍。其次,敲击信号通过时间序列分析和统计方法进行处理,以得出 24 个定量参数。第三,主成分分析用于减少这些参数的维度,并获得四个维度的分数。最后,使用 10 倍分层交叉验证训练逻辑回归分类器,将简化后的参数映射到相应的视觉评估 GTS 评分。结果表明,计算出的分数与视觉评估分数相关性良好,且与上肢运动表现的统一帕金森病评定量表评分有显著差异。此外,它们具有良好的内部一致性,能够很好地区分健康老年人和不同疾病阶段的患者,对治疗干预具有很好的敏感性,并且能够反映随着时间的推移自然疾病的进展。总之,自动方法可用于客观评估 PD 患者的敲击性能,并可包含在远程监测敲击的远程医疗工具中。

https://cdn.ncbi.nlm.nih.gov/pmc/blobs/92fd/3892880/881cdff9521e/sensors-13-16965f1.jpg

文献AI研究员

20分钟写一篇综述,助力文献阅读效率提升50倍。

立即体验

用中文搜PubMed

大模型驱动的PubMed中文搜索引擎

马上搜索

文档翻译

学术文献翻译模型,支持多种主流文档格式。

立即体验