Department of Environmental Sciences, POLARIS Research Centre, University Milano-Bicocca, Piazza della Scienza 1, 20126 Milano, Italy.
Part Fibre Toxicol. 2013 Dec 19;10:63. doi: 10.1186/1743-8977-10-63.
This study explores and characterizes cell cycle alterations induced by urban PM2.5 in the human epithelial cell line BEAS-2B, and elucidates possible mechanisms involved.
The cells were exposed to a low dose (7.5 μg/cm(2)) of Milan winter PM2.5 for different time points, and the cell cycle progression was analyzed by fluorescent microscopy and flow cytometry. Activation of proteins involved in cell cycle control was investigated by Western blotting and DNA damage by (32)P-postlabelling, immunostaining and comet assay. The formation of reactive oxygen species (ROS) was quantified by flow cytometry. The role of PM organic fraction versus washed PM on the cell cycle alterations was also examined. Finally, the molecular pathways activated were further examined using specific inhibitors.
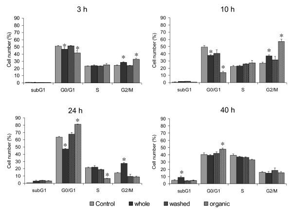
Winter PM2.5 induced marked cell cycle alteration already after 3 h of exposure, represented by an increased number of cells (transient arrest) in G2. This effect was associated with an increased phosphorylation of Chk2, while no changes in p53 phosphorylation were observed at this time point. The increase in G2 was followed by a transient arrest in the metaphase/anaphase transition point (10 h), which was associated with the presence of severe mitotic spindle aberrations. The metaphase/anaphase delay was apparently followed by mitotic slippage at 24 h, resulting in an increased number of tetraploid G1 cells and cells with micronuclei (MN), and by apoptosis at 40 h. Winter PM2.5 increased the level of ROS at 2 h and DNA damage (8-oxodG, single- and double stand breaks) was detected after 3 h of exposure. The PM organic fraction caused a similar G2/M arrest and augmented ROS formation, while washed PM had no such effects. DNA adducts were detected after 24 h. Both PM-induced DNA damage and G2 arrest were inhibited by the addition of antioxidants and α-naphthoflavone, suggesting the involvement of ROS and reactive electrophilic metabolites formed via a P450-dependent reaction.
Milan winter PM2.5 rapidly induces severe cell cycle alterations, resulting in increased frequency of cells with double nuclei and MN. This effect is related to the metabolic activation of PM2.5 organic chemicals, which cause damages to DNA and spindle apparatus.
本研究旨在探讨和描述城市 PM2.5 诱导人支气管上皮细胞系 BEAS-2B 细胞周期改变的情况,并阐明可能涉及的机制。
用低浓度(7.5μg/cm2)的米兰冬季 PM2.5 处理细胞不同时间点,荧光显微镜和流式细胞术分析细胞周期进程。用 Western blot 法检测细胞周期调控蛋白的激活情况,用 32P-后标记、免疫染色和彗星试验检测 DNA 损伤。用流式细胞术定量检测活性氧(ROS)的形成。还研究了 PM2.5 有机部分与洗涤 PM2.5 对细胞周期改变的作用。最后,用特异性抑制剂进一步研究了激活的分子途径。
冬季 PM2.5 在暴露 3 小时后即可引起明显的细胞周期改变,表现为 G2 期细胞数量增加(短暂阻滞)。这种作用与 Chk2 磷酸化增加有关,而此时 p53 磷酸化无变化。G2 期增加后,在中期/后期转换点出现短暂阻滞(10 小时),伴有严重的有丝分裂纺锤体异常。中期/后期阻滞后,在 24 小时时显然出现有丝分裂滑溜,导致 G1 期四倍体细胞和微核(MN)细胞增多,并在 40 小时时出现凋亡。冬季 PM2.5 在 2 小时时增加 ROS 水平,在暴露 3 小时时检测到 8-氧鸟嘌呤、单链和双链断裂的 DNA 损伤。PM2.5 有机部分引起类似的 G2/M 阻滞并增加 ROS 形成,而洗涤 PM2.5 则没有这种作用。24 小时时检测到 DNA 加合物。添加抗氧化剂和α-萘黄酮均可抑制 PM2.5 诱导的 DNA 损伤和 G2 期阻滞,提示 ROS 和通过细胞色素 P450 依赖性反应形成的反应性亲电代谢物参与其中。
米兰冬季 PM2.5 可迅速引起严重的细胞周期改变,导致双核和 MN 细胞的频率增加。这种作用与 PM2.5 有机化合物的代谢激活有关,后者可导致 DNA 和纺锤体装置的损伤。