Suppr超能文献

固态相互转化:一系列镍(II)硝基配合物单晶中基态与亚稳态之间独特的100%可逆转变。

Solid-state interconversions: unique 100 % reversible transformations between the ground and metastable states in single-crystals of a series of nickel(II) nitro complexes.

作者信息

Warren Mark R, Easun Timothy L, Brayshaw Simon K, Deeth Robert J, George Michael W, Johnson Andrew L, Schiffers Stefanie, Teat Simon J, Warren Anna J, Warren John E, Wilson Chick C, Woodall Christopher H, Raithby Paul R

机构信息

Department of Chemistry, University of Bath, Bath, BA2 7AY (UK); The Research Complex at Harwell, Rutherford Appleton Laboratory, Didcot, Oxon, OX11 0FA (UK).

出版信息

Chemistry. 2014 Apr 25;20(18):5468-77. doi: 10.1002/chem.201302053. Epub 2014 Mar 18.

Abstract

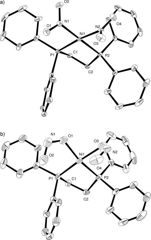
The solid-state, low-temperature linkage isomerism in a series of five square planar group 10 phosphino nitro complexes have been investigated by a combination of photocrystallographic experiments, Raman spectroscopy and computer modelling. The factors influencing the reversible solid-state interconversion between the nitro and nitrito structural isomers have also been investigated, providing insight into the dynamics of this process. The cis-[Ni(dcpe)(NO2)2] (1) and cis-[Ni(dppe)(NO2)2] (2) complexes show reversible 100 % interconversion between the η(1)-NO2 nitro isomer and the η(1)-ONO nitrito form when single-crystals are irradiated with 400 nm light at 100 K. Variable temperature photocrystallographic studies for these complexes established that the metastable nitrito isomer reverted to the ground-state nitro isomer at temperatures above 180 K. By comparison, the related trans complex [Ni(PCy3)2(NO2)2] (3) showed 82 % conversion under the same experimental conditions at 100 K. The level of conversion to the metastable nitrito isomers is further reduced when the nickel centre is replaced by palladium or platinum. Prolonged irradiation of the trans-[Pd(PCy3)2(NO2)2] (4) and trans-[Pt(PCy3)2(NO2)2] (5) with 400 nm light gives reversible conversions of 44 and 27 %, respectively, consistent with the slower kinetics associated with the heavier members of group 10. The mechanism of the interconversion has been investigated by theoretical calculations based on the model complex [Ni(dmpe)Cl(NO2)].

摘要

通过光晶体学实验、拉曼光谱和计算机建模相结合的方法,对一系列五个平面正方形第10族膦基硝基配合物中的固态低温键合异构现象进行了研究。还研究了影响硝基和亚硝酸根结构异构体之间可逆固态相互转化的因素,从而深入了解了这一过程的动力学。当在100K下用400nm光照射单晶时,顺式-[Ni(dcpe)(NO2)2] (1)和顺式-[Ni(dppe)(NO2)2] (2)配合物在η(1)-NO2硝基异构体和η(1)-ONO亚硝酸根形式之间显示出100%的可逆相互转化。对这些配合物进行的变温光晶体学研究表明,亚稳态的亚硝酸根异构体在高于180K的温度下会恢复为基态的硝基异构体。相比之下,相关的反式配合物[Ni(PCy3)2(NO2)2] (3)在100K的相同实验条件下显示出82%的转化率。当镍中心被钯或铂取代时,向亚稳态亚硝酸根异构体的转化水平会进一步降低。用400nm光长时间照射反式-[Pd(PCy3)2(NO2)2] (4)和反式-[Pt(PCy3)2(NO2)2] (5),分别得到44%和27%的可逆转化率,这与第10族较重成员相关的较慢动力学一致。基于模型配合物[Ni(dmpe)Cl(NO2)],通过理论计算研究了相互转化的机理。

https://cdn.ncbi.nlm.nih.gov/pmc/blobs/a1f2/4164279/ca5669597791/chem0020-5468-f9.jpg

文献AI研究员

20分钟写一篇综述,助力文献阅读效率提升50倍。

立即体验

用中文搜PubMed

大模型驱动的PubMed中文搜索引擎

马上搜索

文档翻译

学术文献翻译模型,支持多种主流文档格式。

立即体验