Suppr超能文献

Strongly enhanced current densities in Sr0.6K0.4Fe2As2 + Sn superconducting tapes.

作者信息

Lin He, Yao Chao, Zhang Xianping, Zhang Haitao, Wang Dongliang, Zhang Qianjun, Ma Yanwei, Awaji Satoshi, Watanabe Kazuo

机构信息

Key Laboratory of Applied Superconductivity, Institute of Electrical Engineering, Chinese Academy of Sciences, PO Box 2703, Beijing 100190, China.

High Field Laboratory for Superconducting Materials, Institute for Materials Research, Tohoku University, Sendai 980-8577, Japan.

出版信息

Sci Rep. 2014 Mar 25;4:4465. doi: 10.1038/srep04465.

Abstract

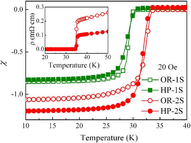
Improving transport current has been the primary topic for practical application of superconducting wires and tapes. However, the porous nature of powder-in-tube (PIT) processed iron-based tapes is one of the important reasons for low critical current density (Jc) values. In this work, the superconducting core density of ex-situ Sr0.6K0.4Fe2As2 + Sn tapes, prepared from optimized precursors, was significantly improved by employing a simple hot pressing as an alternative route for final sintering. The resulting samples exhibited optimal critical temperature (Tc), sharp resistive transition, small resistivity and high Vickers hardness (Hv) value. Consequently, the transport Jc reached excellent values of 5.1 × 10(4) A/cm(2) in 10 T and 4.3 × 10(4) A/cm(2) in 14 T at 4.2 K, respectively. Our tapes also exhibited high upper critical field Hc2 and almost field-independent Jc. These results clearly demonstrate that PIT pnictide wire conductors are very promising for high-field magnet applications.

摘要
https://cdn.ncbi.nlm.nih.gov/pmc/blobs/35a1/3964518/f37447098197/srep04465-f1.jpg

文献AI研究员

20分钟写一篇综述,助力文献阅读效率提升50倍。

立即体验

用中文搜PubMed

大模型驱动的PubMed中文搜索引擎

马上搜索

文档翻译

学术文献翻译模型,支持多种主流文档格式。

立即体验