Suppr超能文献

查科切叶蚁(Atta vollenweideri)的土壤湿度与挖掘行为:挖掘性能及防止水流入巢穴

Soil moisture and excavation behaviour in the Chaco leaf-cutting ant (Atta vollenweideri): digging performance and prevention of water inflow into the nest.

作者信息

Pielström Steffen, Roces Flavio

机构信息

Behavioral Physiology and Sociobiology, Biocenter, University of Würzburg, Würzburg, Germany.

出版信息

PLoS One. 2014 Apr 18;9(4):e95658. doi: 10.1371/journal.pone.0095658. eCollection 2014.

Abstract

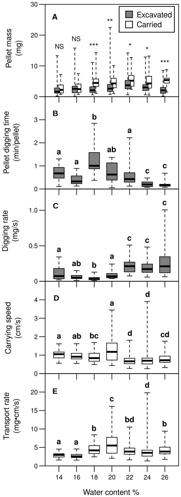
The Chaco leaf-cutting ant Atta vollenweideri is native to the clay-heavy soils of the Gran Chaco region in South America. Because of seasonal floods, colonies are regularly exposed to varying moisture across the soil profile, a factor that not only strongly influences workers' digging performance during nest building, but also determines the suitability of the soil for the rearing of the colony's symbiotic fungus. In this study, we investigated the effects of varying soil moisture on behaviours associated with underground nest building in A. vollenweideri. This was done in a series of laboratory experiments using standardised, plastic clay-water mixtures with gravimetric water contents ranging from relatively brittle material to mixtures close to the liquid limit. Our experiments showed that preference and group-level digging rate increased with increasing water content, but then dropped considerably for extremely moist materials. The production of vibrational recruitment signals during digging showed, on the contrary, a slightly negative linear correlation with soil moisture. Workers formed and carried clay pellets at higher rates in moist clay, even at the highest water content tested. Hence, their weak preference and low group-level excavation rate observed for that mixture cannot be explained by any inability to work with the material. More likely, extremely high moistures may indicate locations unsuitable for nest building. To test this hypothesis, we simulated a situation in which workers excavated an upward tunnel below accumulated surface water. The ants stopped digging about 12 mm below the interface soil/water, a behaviour representing a possible adaptation to the threat of water inflow field colonies are exposed to while digging under seasonally flooded soils. Possible roles of soil water in the temporal and spatial pattern of nest growth are discussed.

摘要

查科切叶蚁Atta vollenweideri原产于南美洲大查科地区富含黏土的土壤。由于季节性洪水,蚁群经常暴露于土壤剖面中不同的湿度环境下,这一因素不仅在筑巢过程中强烈影响工蚁的挖掘性能,还决定了土壤对蚁群共生真菌培育的适宜性。在本研究中,我们调查了不同土壤湿度对Atta vollenweideri地下筑巢相关行为的影响。这是通过一系列实验室实验完成的,实验使用了标准化的塑料黏土 - 水混合物,其重量含水量范围从相对易碎的材料到接近液限的混合物。我们的实验表明,偏好和群体挖掘速率随着含水量的增加而增加,但对于极度潮湿的材料则大幅下降。相反,挖掘过程中振动招募信号的产生与土壤湿度呈略微负线性相关。即使在测试的最高含水量下,工蚁在潮湿黏土中形成和搬运黏土颗粒的速率也更高。因此,观察到它们对该混合物的偏好较弱且群体挖掘速率较低,这不能用任何处理材料的能力不足来解释。更有可能的是,极高的湿度可能表明该位置不适合筑巢。为了验证这一假设,我们模拟了一种情况,即工蚁在积水表面下方挖掘向上的隧道。蚂蚁在土壤/水界面下方约12毫米处停止挖掘,这种行为可能是对季节性洪水淹没土壤下挖掘时蚁群面临的水流威胁的一种适应。文中还讨论了土壤水分在巢穴生长的时间和空间模式中的可能作用。

https://cdn.ncbi.nlm.nih.gov/pmc/blobs/09f0/3991694/155bd1188c2c/pone.0095658.g001.jpg

文献AI研究员

20分钟写一篇综述,助力文献阅读效率提升50倍。

立即体验

用中文搜PubMed

大模型驱动的PubMed中文搜索引擎

马上搜索

文档翻译

学术文献翻译模型,支持多种主流文档格式。

立即体验