Suppr超能文献

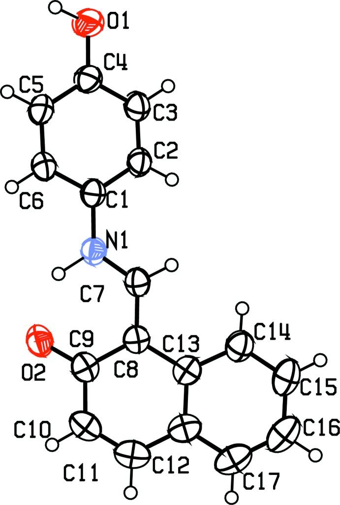
1-[(4-Hy-droxy-anilino)methyl-idene]naphthalen-2(1H)-one.

作者信息

Chahmana Safia, Benghanem Fatiha, Keraghel Saida, Ourari Ali

机构信息

Laboratoire d'Electrochimie, d'Ingenierie Moléculaire et de Catalyse Redox, Departement de Génie des Procédés, Faculté de Technologie, Université Ferhat Abbas Sétif, Algeria.

出版信息

Acta Crystallogr Sect E Struct Rep Online. 2014 Jan 4;70(Pt 2):o107. doi: 10.1107/S160053681303451X. eCollection 2014 Feb 1.

Abstract

The title Schiff base, C17H13NO2, crystallizes in the zwitterionic form and an N-H⋯O hydrogen bond closes an S(6) ring. The dihedral angle between the aromatic ring systems is 15.62 (9)°. In the crystal, O-H⋯O hydrogen bonds link the mol-ecules into C(11) chains propagating in [010].

摘要
https://cdn.ncbi.nlm.nih.gov/pmc/blobs/064d/3998278/41265bb74fba/e-70-0o107-fig1.jpg

相似文献

1
1-[(4-Hy-droxy-anilino)methyl-idene]naphthalen-2(1H)-one.
Acta Crystallogr Sect E Struct Rep Online. 2014 Jan 4;70(Pt 2):o107. doi: 10.1107/S160053681303451X. eCollection 2014 Feb 1.
2
1-{(Z)-[3-(1-Hy-droxy-eth-yl)anilino]methyl-idene}naphthalen-2(1H)-one.
Acta Crystallogr Sect E Struct Rep Online. 2013 Jan 1;69(Pt 1):o106. doi: 10.1107/S1600536812050635. Epub 2012 Dec 19.
3
Crystal structure of (E)-4-hy-droxy-3-{1-[(4-hy-droxy-phen-yl)imino]-eth-yl}-6-methyl-2H-pyran-2-one.
Acta Crystallogr E Crystallogr Commun. 2015 Jul 11;71(Pt 8):o564-5. doi: 10.1107/S2056989015012840. eCollection 2015 Aug 1.
4
Crystal structure of (E)-4-hy-droxy-N'-(3-hy-droxy-benzyl-idene)benzohydrazide monohydrate.
Acta Crystallogr Sect E Struct Rep Online. 2014 Aug 1;70(Pt 9):o891-2. doi: 10.1107/S1600536814011908. eCollection 2014 Sep 1.
5
3-Chloro-N'-[(2-hy-droxy-naphthalen-1-yl)methyl-idene]benzohydrazide.
Acta Crystallogr Sect E Struct Rep Online. 2011 Jan 12;67(Pt 2):o373. doi: 10.1107/S1600536811000912.
6
Crystal structure of (Z)-3-benz-yloxy-6-[(2-hy-droxy-5-methyl-anilino)methyl-idene]cyclo-hexa-2,4-dien-1-one.
Acta Crystallogr Sect E Struct Rep Online. 2014 Aug 1;70(Pt 9):o957-8. doi: 10.1107/S1600536814016936. eCollection 2014 Sep 1.
7
6-[(2-Hy-droxy-5-methyl-anilino)methyl-idene]-4-nitro-cyclo-hexa-2,4-dien-1-one.
IUCrdata. 2020 Oct 23;5(Pt 10):x201384. doi: 10.1107/S241431462001384X. eCollection 2020 Oct.
8
N'-(3-Eth-oxy-2-hy-droxy-benzyl-idene)-2-hy-droxy-3-methyl-benzohydrazide.
Acta Crystallogr Sect E Struct Rep Online. 2012 Feb 1;68(Pt 2):o500. doi: 10.1107/S1600536812002127. Epub 2012 Jan 21.
9
N'-[(2-Hy-droxy-naphthalen-1-yl)methyl-idene]-4-nitro-benzohydrazide.
Acta Crystallogr Sect E Struct Rep Online. 2011 Dec 1;67(Pt 12):o3278. doi: 10.1107/S1600536811045685. Epub 2011 Nov 12.
10
Crystal structure of (4Z)-1-(3,4-di-chloro-phen-yl)-4-[hy-droxy(4-methyl-phen-yl)methyl-idene]-3-methyl-4,5-di-hydro-1H-pyrazol-5-one.
Acta Crystallogr Sect E Struct Rep Online. 2014 Sep 30;70(Pt 10):o1136-7. doi: 10.1107/S160053681402114X. eCollection 2014 Oct 1.

本文引用的文献

1
A short history of SHELX.
Acta Crystallogr A. 2008 Jan;64(Pt 1):112-22. doi: 10.1107/S0108767307043930. Epub 2007 Dec 21.
2
3-Hydroxy-6-[(4-hydroxyphenylamino)methylene]cyclohexa-2,4-dienone and 2-hydroxy-6-[(4-hydroxyphenylamino)methylene]cyclohexa-2,4-dienone.
Acta Crystallogr C. 2004 Jun;60(Pt 6):o458-60. doi: 10.1107/S0108270104010832. Epub 2004 May 31.

文献AI研究员

20分钟写一篇综述,助力文献阅读效率提升50倍。

立即体验

用中文搜PubMed

大模型驱动的PubMed中文搜索引擎

马上搜索

文档翻译

学术文献翻译模型,支持多种主流文档格式。

立即体验