Suppr超能文献

Transcriptional and histological analyses of the thymic developmental process in the fetal pig.

作者信息

Suzuki Shunichi, Suzuki Misae, Nakai Michiko, Sembon Shoichiro, Fuchimoto Daiichiro, Onishi Akira

机构信息

Transgenic Pig Research Unit, National Institute of Agrobiological Sciences, 2 Ikenodai, Tsukuba,Ibaraki 305-0901, Japan.

出版信息

Exp Anim. 2014;63(2):215-25. doi: 10.1538/expanim.63.215.

Abstract

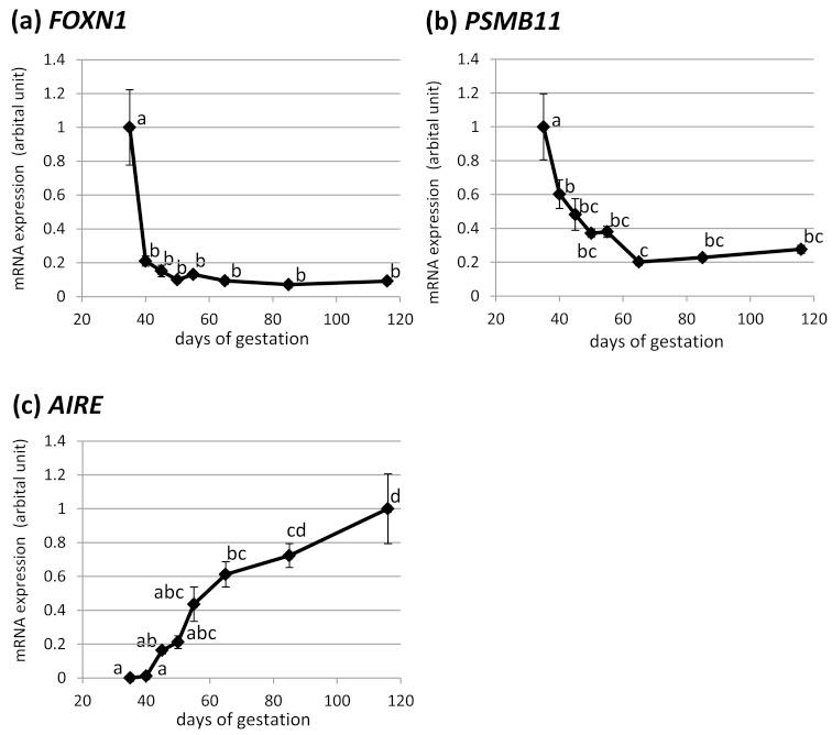
The humanized pig model, in which human cells or tissues can be functionally maintained in pigs, can be an invaluable tool for human medical research. Although the recent development of immunodeficient pigs has opened the door for the development of such a model, the efficient engraftment and differentiation of human cells may be difficult to achieve. The transplantation of human cells into fetal pigs, whose immune system is immature, will ameliorate this problem. Therefore, we examined the development of porcine fetal thymus, which is critical for the establishment of the immune system. We first analyzed the levels of mRNA expression of genes that are relevant to the function of thymic epithelial cells or thymocytes in whole thymi from 35 to 85 days of gestation (DG) and at 2 days postpartum (DP) by quantitative RT-PCR. In addition, immunohistochemical analyses of thymic epithelial cells from DG35 to DG55 and DP2 were performed. These analyses showed that the thymic cortex was formed as early as DG35, and thymic medulla gradually developed from DG45 to DG55. These findings suggested that, at least before DG45, the thymus do not differentiate to form fully functional T cells.

摘要
https://cdn.ncbi.nlm.nih.gov/pmc/blobs/3b1a/4160976/8ecce0046c08/expanim-63-215-g001.jpg

文献AI研究员

20分钟写一篇综述,助力文献阅读效率提升50倍。

立即体验

用中文搜PubMed

大模型驱动的PubMed中文搜索引擎

马上搜索

文档翻译

学术文献翻译模型,支持多种主流文档格式。

立即体验