Suppr超能文献

一种涂有抗内皮糖蛋白抗体的新型支架可抑制猪冠状动脉的内膜增生。

A novel stent coated with antibodies to endoglin inhibits neointimal formation of porcine coronary arteries.

作者信息

Cui Song, Liu Jing-Hua, Song Xian-Tao, Ma Guo-Lin, Du Ben-Jun, Lv Shu-Zheng, Meng Li-Jun, Gao Quan-Sheng, Li Kefeng

机构信息

The Key Laboratory of Remodeling-Related Cardiovascular Diseases, Department of Cardiology, Anzhen Hospital Affiliated to Capital Medical University, Beijing 100029, China.

Department of Radiology, China-Japan Friendship Hospital, Beijing 100029, China.

出版信息

Biomed Res Int. 2014;2014:428619. doi: 10.1155/2014/428619. Epub 2014 May 4.

Abstract

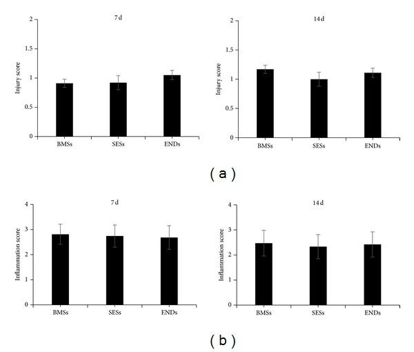
Endoglin/CD105 is an accessory protein of the transforming growth factor-β receptor system that plays a critical role in proliferation of endothelial cells and neovasculature. Here, we aimed to assess the effect of novel stents coated with antibodies to endoglin (ENDs) on coronary neointima formation. Thirty ENDs, thirty sirolimus-eluting stents (SESs), and thirty bare metal stents (BMSs) were randomly assigned and placed in the coronary arteries in 30 juvenile pigs. Histomorphometric analysis and scanning electron microscopy were performed after stent implantation. Our results showed that after 7 days, there was no difference in the neointimal area and percent area stenosis in ENDs compared with SMSs or BMSs. After 14 days, the neointima area and percent area stenosis in ENDs were markedly decreased than those in BMSs or SESs (P < 0.05). Moreover, the percentage of reendothelialization was significantly higher in ENDs than that in SESs or BMSs (P < 0.01) at 7 and 14 days. The artery injury and the inflammation scores were similar in all groups at 7 and 14 days. In conclusion, our results demonstrated for the first time to our knowledge that endoglin antibody-coated stents can markedly reduce restenosis by enhancing reendothelialization in the porcine model and potentially offer a new approach to prevent restenosis.

摘要

内皮糖蛋白/CD105是转化生长因子-β受体系统的一种辅助蛋白,在内皮细胞增殖和新血管形成中起关键作用。在此,我们旨在评估新型内皮糖蛋白抗体包被支架(ENDs)对冠状动脉内膜增生的影响。将30个ENDs、30个西罗莫司洗脱支架(SESs)和30个裸金属支架(BMSs)随机分配,并植入30只幼年猪的冠状动脉中。支架植入后进行组织形态计量学分析和扫描电子显微镜检查。我们的结果显示,7天后,ENDs组的内膜面积和面积狭窄百分比与SESs组或BMSs组相比无差异。14天后,ENDs组的内膜面积和面积狭窄百分比明显低于BMSs组或SESs组(P<0.05)。此外,在7天和14天时,ENDs组的再内皮化百分比显著高于SESs组或BMSs组(P<0.01)。在7天和14天时,所有组的动脉损伤和炎症评分相似。总之,据我们所知,我们的结果首次证明,内皮糖蛋白抗体包被支架可通过增强猪模型中的再内皮化显著降低再狭窄,并可能为预防再狭窄提供一种新方法。

https://cdn.ncbi.nlm.nih.gov/pmc/blobs/44c6/4026940/8f8b89fab19a/BMRI2014-428619.001.jpg

文献AI研究员

20分钟写一篇综述,助力文献阅读效率提升50倍。

立即体验

用中文搜PubMed

大模型驱动的PubMed中文搜索引擎

马上搜索

文档翻译

学术文献翻译模型,支持多种主流文档格式。

立即体验