Suppr超能文献

采用 UPLC-PDA 法同时测定四君子汤中十种活性成分的含量。

Simultaneous Quantification of Ten Active Components in Traditional Chinese Formula Sijunzi Decoction Using a UPLC-PDA Method.

机构信息

School of Pharmacy, Nanjing University of Chinese Medicine, 138 Xianlin Road, Nanjing 210046, China ; Discipline of Chinese and Western Integrative Medicine, Nanjing University of Chinese Medicine, 138 Xianlin Road, Nanjing 210046, China ; State Key Laboratory of Natural Medicines, China Pharmaceutical University, Nanjing 210009, China.

School of Pharmacy, Nanjing University of Chinese Medicine, 138 Xianlin Road, Nanjing 210046, China.

出版信息

J Anal Methods Chem. 2014;2014:570359. doi: 10.1155/2014/570359. Epub 2014 May 20.

Abstract

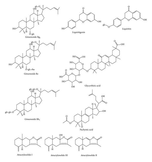
Sijunzi decoction (SJZT), a traditional Chinese formula (TCMF) consisting of four herbs, has been widely used for the treatment of various gastrointestinal symptoms. However, its modernization process is hindered by the lack of a powerful quality control method that covers the major active components in the formula. The aim of this study was to establish a UPLC method for the quantitative determination of ten active components in Sijunzi decoction including ginsenoside Rg1, Re, Rb1, liquiritin, liquiritigenin, glycyrrhizic acid, atractylenolide I, atractylenolide II, atractylenolide III, and pachymic acid. Separation was achieved using an ACQUITY UPLC BEHC18 column (2.1 mm × 100 mm, 1.7  μ m) with a gradient elution program consisting of acetonitrile and 0.1% phosphoric acid solution. The detection wavelengths were set at 203, 254, 222, and 267 nm. The method was validated for linearity, accuracy, precision, limit of detection, and limit of quantification. The validated method was successfully applied to the simultaneous quantification of ten active compounds from several finished batches of SJZT. This validated that UPLC method is expected to provide a new basis for the quality control of SJZT.

摘要

四君子汤(SJZT)是一种由四味草药组成的中药方剂,已广泛用于治疗各种胃肠道症状。然而,由于缺乏涵盖配方中主要活性成分的强大质量控制方法,其现代化进程受到阻碍。本研究旨在建立一种用于定量测定十君子汤中十种活性成分的 UPLC 方法,包括人参皂苷 Rg1、Re、Rb1、甘草苷、甘草素、甘草酸、白术内酯 I、白术内酯 II、白术内酯 III 和厚壁酸。分离采用 ACQUITY UPLC BEHC18 柱(2.1mm×100mm,1.7μm),梯度洗脱程序由乙腈和 0.1%磷酸溶液组成。检测波长设置为 203、254、222 和 267nm。该方法对线性、准确性、精密度、检测限和定量限进行了验证。该验证方法成功应用于从几个 SJZT 成品批次中同时定量十种活性化合物。这验证了 UPLC 方法有望为 SJZT 的质量控制提供新的依据。

https://cdn.ncbi.nlm.nih.gov/pmc/blobs/0d79/4054979/0840bb8c1a37/JAMC2014-570359.001.jpg

文献AI研究员

20分钟写一篇综述,助力文献阅读效率提升50倍。

立即体验

用中文搜PubMed

大模型驱动的PubMed中文搜索引擎

马上搜索

文档翻译

学术文献翻译模型,支持多种主流文档格式。

立即体验