Suppr超能文献

成人原发性免疫性血小板减少症患者中产生白细胞介素-10的B细胞的异常频率及其与调节性T细胞/辅助性T细胞17的关联。

Aberrant frequency of IL-10-producing B cells and its association with Treg/Th17 in adult primary immune thrombocytopenia patients.

作者信息

Hua Fanli, Ji Lili, Zhan Yanxia, Li Feng, Zou Shanhua, Chen Lihang, Gao Song, Li Ying, Chen Hao, Cheng Yunfeng

机构信息

Department of Haematology, Zhongshan Hospital, Fudan University, 180 Fenglin Road, Shanghai 200032, China ; Department of Haematology, Jinshan Hospital, Fudan University, Shanghai 201508, China.

Department of Haematology, Zhongshan Hospital, Fudan University, 180 Fenglin Road, Shanghai 200032, China.

出版信息

Biomed Res Int. 2014;2014:571302. doi: 10.1155/2014/571302. Epub 2014 Jun 26.

Abstract

BACKGROUND

Regulatory B cells (Breg) are a distinct B cell subset with immunoregulatory properties. Pivotal to Breg function is interleukin-10. This study was to investigate the role of IL-10-producing B cell (B10) and its association with Treg and Th17 subsets in immune thrombocytopenia (ITP) patients.

METHODS

Peripheral blood mononuclear cells from ITP patients and controls were stimulated with PMA, ionomycin, and Brefeldin A. The frequencies of CD19(+)IL-10(+) B cells, CD3(+)CD4(+)IL-17(+) Th17 cells, and CD4(+)CD25(hi)Foxp3(+) Treg cells were analyzed by flow cytometry. The mRNA expression of Foxp3 and RORγt was detected by real-time quantitative PCR.

RESULTS

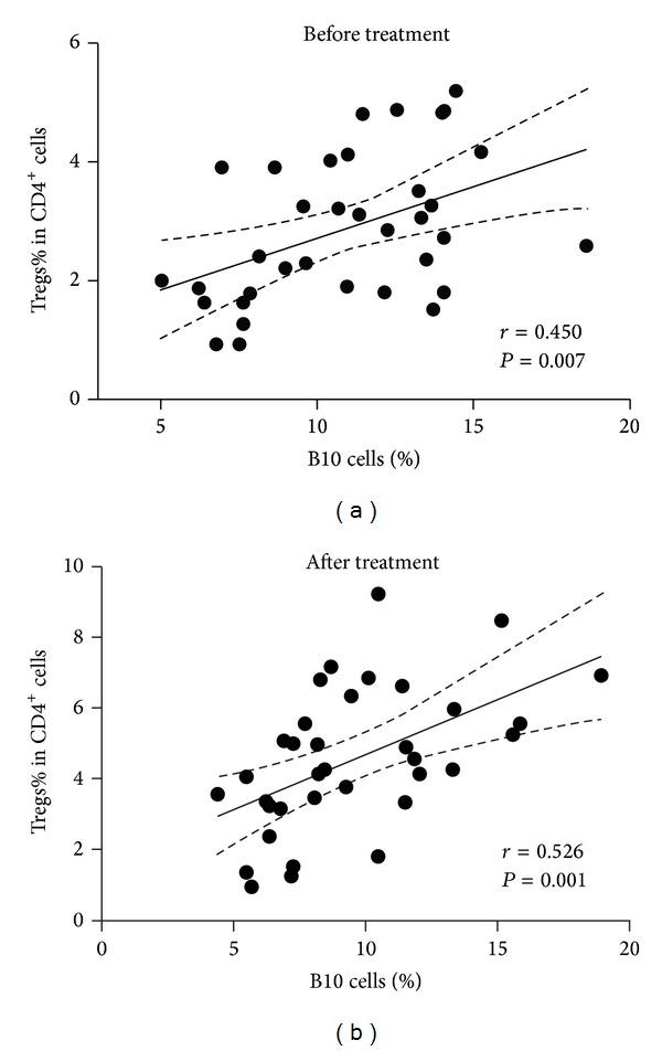
The number of B10 cells was elevated in ITP patients. After first-line therapies, it remained at high level in patients who achieved complete or partial response but decreased in those who acquired no response. There was a positive correlation between B10 cells and Tregs in ITP both before and after therapies. The ratio of Treg/Th17 decreased in ITP, and it strongly correlated with B10 cells.

CONCLUSIONS

The frequency of B10 cells is elevated in ITP and it correlates with both the Tregs counts and the Treg/Th17 ratio. B10 cells to regulate functional T cell subsets might be impaired in patients with ITP.

摘要

背景

调节性B细胞(Breg)是具有免疫调节特性的独特B细胞亚群。白细胞介素-10对Breg功能至关重要。本研究旨在探讨产生白细胞介素-10的B细胞(B10)在免疫性血小板减少症(ITP)患者中的作用及其与调节性T细胞(Treg)和辅助性T细胞17(Th17)亚群的关系。

方法

用佛波酯、离子霉素和布雷菲德菌素A刺激ITP患者和对照组的外周血单个核细胞。通过流式细胞术分析CD19(+)IL-10(+) B细胞、CD3(+)CD4(+)IL-17(+) Th17细胞和CD4(+)CD25(hi)Foxp3(+) Treg细胞的频率。通过实时定量PCR检测Foxp3和维甲酸相关孤儿受体γt(RORγt)的mRNA表达。

结果

ITP患者中B10细胞数量增加。一线治疗后,完全或部分缓解的患者B10细胞数量仍维持在高水平,而无反应的患者B10细胞数量减少。治疗前后ITP患者中B10细胞与Treg之间均呈正相关。ITP患者中Treg/Th17比值降低,且与B10细胞密切相关。

结论

ITP患者中B10细胞频率升高,且与Treg计数及Treg/Th17比值均相关。ITP患者中调节功能性T细胞亚群的B10细胞可能存在功能受损。

https://cdn.ncbi.nlm.nih.gov/pmc/blobs/d6ab/4098883/aef3ad08ec79/BMRI2014-571302.001.jpg

文献AI研究员

20分钟写一篇综述,助力文献阅读效率提升50倍。

立即体验

用中文搜PubMed

大模型驱动的PubMed中文搜索引擎

马上搜索

文档翻译

学术文献翻译模型,支持多种主流文档格式。

立即体验