Division of Pharmacotherapeutics, Keio University Faculty of Pharmacy, Tokyo, Japan.
Cancer Sci. 2014 Oct;105(10):1254-60. doi: 10.1111/cas.12498. Epub 2014 Sep 25.
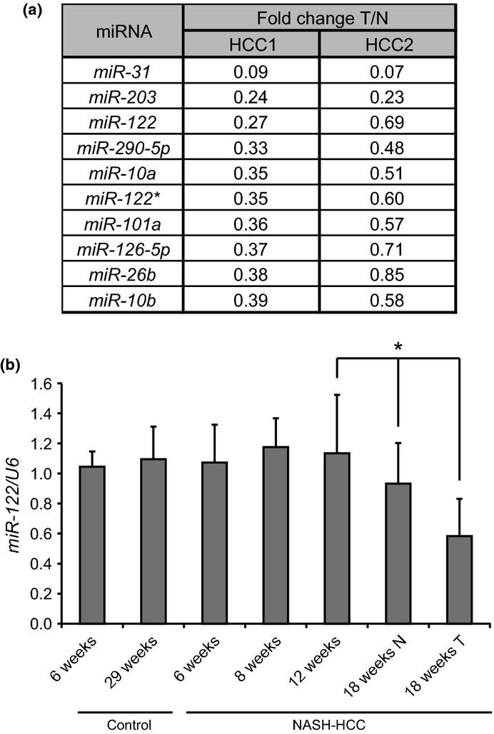
Non-alcoholic steatohepatitis (NASH) has emerged as a common cause of chronic liver disease and virus-independent hepatocellular carcinoma (HCC) in patients with obesity, diabetes, and metabolic syndrome. To reveal the molecular mechanism underlying hepatocarcinogenesis from NASH, microRNA (miRNA) expression profiles were analyzed in STAM mice, a NASH-HCC animal model. MicroRNA expression was also examined in 42 clinical samples of HCC tissue. Histopathological images of the liver of STAM mice at the ages of 6, 8, 12, and 18 weeks showed findings compatible with fatty liver, NASH, liver cirrhosis (LC), and HCC, respectively. Expression of miR-122 in non-tumor LC at the age of 18 weeks was significantly lower than that in LC at the age of 12 weeks. Expression of miR-122 was further decreased in HCCs relative to non-tumor LC at the age of 18 weeks. Expression of miR-122 was also decreased in clinical samples of liver tissue showing macrovesicular steatosis and HCC, being consistent with the findings in the NASH model mice. DNA methylation analysis revealed that silencing of miR-122 was not mediated by DNA hypermethylation of the promoter region. These results suggest that silencing of miR-122 is an early event during hepatocarcinogenesis from NASH, and that miR-122 could be a novel molecular marker for evaluating the risk of HCC in patients with NASH.
非酒精性脂肪性肝炎(NASH)已成为肥胖、糖尿病和代谢综合征患者慢性肝病和非病毒相关性肝细胞癌(HCC)的常见病因。为了揭示 NASH 致肝癌发生的分子机制,我们分析了 NASH-HCC 动物模型 STAM 小鼠的 microRNA(miRNA)表达谱,并检测了 42 例 HCC 组织的临床样本中的 miRNA 表达情况。STAM 小鼠在 6、8、12 和 18 周龄时的肝脏组织病理学图像显示出与脂肪肝、NASH、肝硬化(LC)和 HCC 分别一致的发现。在 18 周龄的非肿瘤性 LC 中,miR-122 的表达明显低于 12 周龄的 LC。与 18 周龄的非肿瘤性 LC 相比,miR-122 在 HCC 中的表达进一步降低。miR-122 的表达在表现为大泡性脂肪变性和 HCC 的临床肝组织样本中也降低,与 NASH 模型小鼠的结果一致。DNA 甲基化分析表明,miR-122 的沉默不是由启动子区域的 DNA 超甲基化介导的。这些结果表明,miR-122 的沉默是 NASH 致肝癌发生的早期事件,miR-122 可能是评估 NASH 患者 HCC 风险的新型分子标志物。