Suppr超能文献

一种同步-异步粒子群优化算法。

A synchronous-asynchronous particle swarm optimisation algorithm.

作者信息

Ab Aziz Nor Azlina, Mubin Marizan, Mohamad Mohd Saberi, Ab Aziz Kamarulzaman

机构信息

Faculty of Engineering, University of Malaya, 50603 Kuala Lumpur, Malaysia ; Multimedia University, Jalan Ayer Keroh Lama, 75450 Bukit Beruang, Melaka, Malaysia.

Faculty of Engineering, University of Malaya, 50603 Kuala Lumpur, Malaysia.

出版信息

ScientificWorldJournal. 2014;2014:123019. doi: 10.1155/2014/123019. Epub 2014 Jul 10.

Abstract

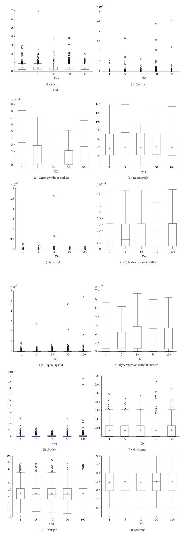
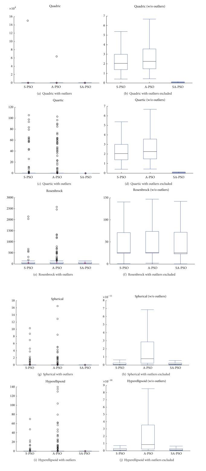
In the original particle swarm optimisation (PSO) algorithm, the particles' velocities and positions are updated after the whole swarm performance is evaluated. This algorithm is also known as synchronous PSO (S-PSO). The strength of this update method is in the exploitation of the information. Asynchronous update PSO (A-PSO) has been proposed as an alternative to S-PSO. A particle in A-PSO updates its velocity and position as soon as its own performance has been evaluated. Hence, particles are updated using partial information, leading to stronger exploration. In this paper, we attempt to improve PSO by merging both update methods to utilise the strengths of both methods. The proposed synchronous-asynchronous PSO (SA-PSO) algorithm divides the particles into smaller groups. The best member of a group and the swarm's best are chosen to lead the search. Members within a group are updated synchronously, while the groups themselves are asynchronously updated. Five well-known unimodal functions, four multimodal functions, and a real world optimisation problem are used to study the performance of SA-PSO, which is compared with the performances of S-PSO and A-PSO. The results are statistically analysed and show that the proposed SA-PSO has performed consistently well.

摘要

在原始的粒子群优化(PSO)算法中,粒子的速度和位置在整个群体性能被评估之后才进行更新。该算法也被称为同步PSO(S-PSO)。这种更新方法的优势在于对信息的利用。异步更新PSO(A-PSO)作为S-PSO的一种替代方案被提出。A-PSO中的一个粒子在其自身性能被评估后就立即更新其速度和位置。因此,粒子是利用部分信息进行更新,从而导致更强的探索能力。在本文中,我们尝试通过融合这两种更新方法来改进PSO,以利用两种方法的优势。所提出的同步-异步PSO(SA-PSO)算法将粒子划分为更小的组。选择一个组中的最佳成员和群体中的最佳成员来引导搜索。组内成员同步更新,而各个组本身异步更新。使用五个著名的单峰函数、四个多峰函数以及一个实际的优化问题来研究SA-PSO的性能,并将其与S-PSO和A-PSO的性能进行比较。对结果进行了统计分析,结果表明所提出的SA-PSO表现一直良好。

https://cdn.ncbi.nlm.nih.gov/pmc/blobs/b717/4121262/3930a474df4c/TSWJ2014-123019.001.jpg

文献AI研究员

20分钟写一篇综述,助力文献阅读效率提升50倍。

立即体验

用中文搜PubMed

大模型驱动的PubMed中文搜索引擎

马上搜索

文档翻译

学术文献翻译模型,支持多种主流文档格式。

立即体验