Sagong Hye Yeon, Bauman Joseph D, Patel Disha, Das Kalyan, Arnold Eddy, LaVoie Edmond J
Department of Medicinal Chemistry, Ernest Mario School of Pharmacy, Rutgers, The State University of New Jersey , Piscataway, New Jersey 08854-8020, United States.
J Med Chem. 2014 Oct 9;57(19):8086-98. doi: 10.1021/jm500958x. Epub 2014 Sep 29.
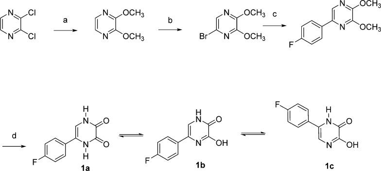
Seasonal and pandemic influenza outbreaks remain a major human health problem. Inhibition of the endonuclease activity of influenza RNA-dependent RNA polymerase is attractive for the development of new agents for the treatment of influenza infection. Our earlier studies identified a series of 5- and 6-phenyl substituted 3-hydroxypyridin-2(1H)-ones that were effective inhibitors of influenza endonuclease. These agents identified as bimetal chelating ligands binding to the active site of the enzyme. In the present study, several aza analogues of these phenyl substituted 3-hydroxypyridin-2(1H)-one compounds were synthesized and evaluated for their ability to inhibit the endonuclease activity. In contrast to the 4-aza analogue of 6-(4-fluorophenyl)-3-hydroxypyridin-2(1H)-one, the 5-aza analogue (5-hydroxy-2-(4-fluorophenyl)pyrimidin-4(3H)-one) did exhibit significant activity as an endonuclease inhibitor. The 6-aza analogue of 5-(4-fluorophenyl)-3-hydroxypyridin-2(1H)-one (6-(4-fluorophenyl)-4-hydroxypyridazin-3(2H)-one) also retained modest activity as an inhibitor. Several varied 6-phenyl-4-hydroxypyridazin-3(2H)-ones and 2-phenyl-5-hydroxypyrimidin-4(3H)-ones were synthesized and evaluated as endonuclease inhibitors. The SAR observed for these aza analogues are consistent with those previously observed with various phenyl substituted 3-hydroxypyridin-2(1H)-ones.
季节性流感和大流行性流感疫情仍然是一个重大的人类健康问题。抑制流感病毒RNA依赖性RNA聚合酶的内切酶活性对于开发治疗流感感染的新型药物具有吸引力。我们早期的研究确定了一系列5-和6-苯基取代的3-羟基吡啶-2(1H)-酮,它们是有效的流感内切酶抑制剂。这些药物被鉴定为与酶活性位点结合的双金属螯合配体。在本研究中,合成了这些苯基取代的3-羟基吡啶-2(1H)-酮化合物的几种氮杂类似物,并评估了它们抑制内切酶活性的能力。与6-(4-氟苯基)-3-羟基吡啶-2(1H)-酮的4-氮杂类似物不同,5-氮杂类似物(5-羟基-2-(4-氟苯基)嘧啶-4(3H)-酮)确实表现出作为内切酶抑制剂的显著活性。5-(4-氟苯基)-3-羟基吡啶-2(1H)-酮的6-氮杂类似物(6-(4-氟苯基)-4-羟基哒嗪-3(2H)-酮)也保留了适度的作为抑制剂的活性。合成了几种不同的6-苯基-4-羟基哒嗪-3(2H)-酮和2-苯基-5-羟基嘧啶-4(3H)-酮,并评估了它们作为内切酶抑制剂的活性。观察到的这些氮杂类似物的构效关系与先前观察到的各种苯基取代的3-羟基吡啶-2(1H)-酮的构效关系一致。