Suppr超能文献

基质金属蛋白酶-8和-9及其组织抑制剂在伴有下颌前伸的糖尿病大鼠髁突中的表达

Expression of matrix metalloproteinases-8 and -9 and their tissue inhibitor in the condyles of diabetic rats with mandibular advancement.

作者信息

Zhong Xiaohuan, Wang Huixin, Jian Xinchun

机构信息

Department of Stomatology, Xiangya Hospital, Central South University, Changsha, Hunan 410008, P.R. China.

出版信息

Exp Ther Med. 2014 Nov;8(5):1357-1364. doi: 10.3892/etm.2014.1984. Epub 2014 Sep 22.

Abstract

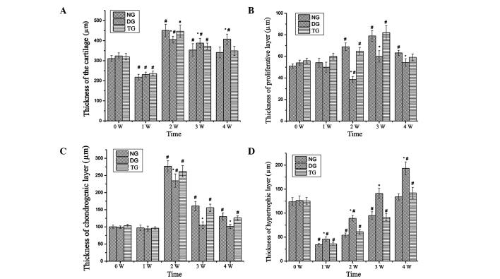
The present study aimed to evaluate the effects of type 1 diabetes mellitus on the condylar response during treatment with a functional appliance. Sprague-Dawley rats were divided into 3 groups, normal (NG), diabetes (DG) and diabetes with insulin-treatment (TG). Bite-jumping appliances were fitted to the rats in the experimental groups. At 7, 14, 21 and 28 days following fitting, animals were sacrificed and condyles were excised and processed using routine histological techniques. The expression of matrix metalloproteinase (MMP)-8, MMP-9 and tissue inhibitor of metalloproteinase-1 (TIMP-1) was detected using immunohistochemical analysis. Mandibular advancement increased the expression levels of MMP-8 (peaked on day 28), MMP-9 (peaked on day 21), TIMP-1 (peaked on days 21 and 28) and the ratio of MMP-8 to TIMP-1 and MMP-9 to TIMP-1. In the DG, diabetes decreased the expression levels of MMP-8 and MMP-9 induced by mandibular advancement and increased the expression levels of TIMP-1 compared with that of the NG. The ratio of MMP-8 to TIMP-1 and MMP-9 to TIMP-1 also showed a significant decrease in the DG compared with that of the NG. A recovery of these parameters was observed in the TG. Diabetes significantly altered the condylar response, which was triggered by mandibular advancement, and weakened subsequent bone deposition. The results from the TG were not significantly different from that of the NG.

摘要

本研究旨在评估1型糖尿病对功能性矫治器治疗期间髁突反应的影响。将Sprague-Dawley大鼠分为3组,即正常组(NG)、糖尿病组(DG)和糖尿病胰岛素治疗组(TG)。给实验组大鼠佩戴咬合跳跃矫治器。佩戴矫治器后第7、14、21和28天,处死动物,切除髁突并采用常规组织学技术进行处理。采用免疫组织化学分析检测基质金属蛋白酶(MMP)-8、MMP-9和金属蛋白酶组织抑制剂-1(TIMP-1)的表达。下颌前伸增加了MMP-8(在第28天达到峰值)、MMP-9(在第21天达到峰值)、TIMP-1(在第21天和第28天达到峰值)的表达水平以及MMP-8与TIMP-1、MMP-9与TIMP-1的比值。在糖尿病组中,与正常组相比,糖尿病降低了下颌前伸诱导的MMP-8和MMP-9的表达水平,并增加了TIMP-1的表达水平。糖尿病组中MMP-8与TIMP-1、MMP-9与TIMP-1的比值也显著低于正常组。在糖尿病胰岛素治疗组中观察到这些参数有所恢复。糖尿病显著改变了由下颌前伸引发的髁突反应,并削弱了随后的骨沉积。糖尿病胰岛素治疗组的结果与正常组无显著差异。

https://cdn.ncbi.nlm.nih.gov/pmc/blobs/45d9/4186328/6ab7265d2735/ETM-08-05-1357-g00.jpg

文献AI研究员

20分钟写一篇综述,助力文献阅读效率提升50倍。

立即体验

用中文搜PubMed

大模型驱动的PubMed中文搜索引擎

马上搜索

文档翻译

学术文献翻译模型,支持多种主流文档格式。

立即体验