Suppr超能文献

聚偏二氟乙烯(PVDF)基磁性复合材料中磁各向异性的正温度系数

Positive temperature coefficient of magnetic anisotropy in polyvinylidene fluoride (PVDF)-based magnetic composites.

作者信息

Liu Yiwei, Wang Baomin, Zhan Qingfeng, Tang Zhenhua, Yang Huali, Liu Gang, Zuo Zhenghu, Zhang Xiaoshan, Xie Yali, Zhu Xiaojian, Chen Bin, Wang Junling, Li Run-Wei

机构信息

Key Laboratory of Magnetic Materials and Devices &Zhejiang Province Key Laboratory of Magnetic Materials and Application Technology, Ningbo Institute of Materials Technology and Engineering (NIMTE), Chinese Academy of Sciences (CAS), Ningbo 315201, People's Republic of China.

School of Materials Science and Engineering, Nanyang Technological University, 639798, Singapore.

出版信息

Sci Rep. 2014 Oct 14;4:6615. doi: 10.1038/srep06615.

Abstract

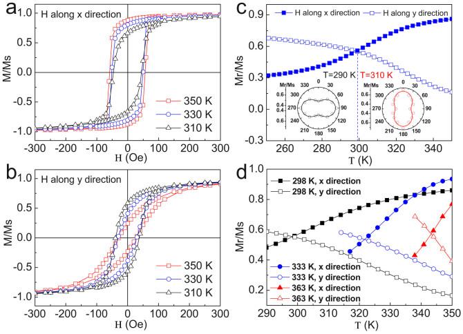
The magnetic anisotropy is decreased with increasing temperature in normal magnetic materials, which is harmful to the thermal stability of magnetic devices. Here, we report the realization of positive temperature coefficient of magnetic anisotropy in a novel composite combining β-phase polyvinylidene fluoride (PVDF) with magnetostrictive materials (magnetostrictive film/PVDF bilayer structure). We ascribe the enhanced magnetic anisotropy of the magnetic film at elevated temperature to the strain-induced anisotropy resulting from the anisotropic thermal expansion of the β-phase PVDF. The simulation based on modified Stoner-Wohlfarth model and the ferromagnetic resonance measurements confirms our results. The positive temperature coefficient of magnetic anisotropy is estimated to be 1.1 × 10(2) J m(-3) K(-1). Preparing the composite at low temperature can enlarge the temperature range where it shows the positive temperature coefficient of magnetic anisotropy. The present results may help to design magnetic devices with improved thermal stability and enhanced performance.

摘要

在普通磁性材料中,磁各向异性会随着温度升高而降低,这对磁性器件的热稳定性有害。在此,我们报道了在一种新型复合材料中实现磁各向异性的正温度系数,该复合材料由β相聚偏氟乙烯(PVDF)与磁致伸缩材料(磁致伸缩薄膜/PVDF双层结构)组成。我们将磁性薄膜在高温下增强的磁各向异性归因于β相PVDF的各向异性热膨胀所导致的应变诱导各向异性。基于修正的斯托纳-沃尔法特模型的模拟和铁磁共振测量证实了我们的结果。磁各向异性的正温度系数估计为1.1×10² J m⁻³ K⁻¹。在低温下制备该复合材料可以扩大其呈现磁各向异性正温度系数的温度范围。目前的结果可能有助于设计具有更高热稳定性和增强性能的磁性器件。

https://cdn.ncbi.nlm.nih.gov/pmc/blobs/e5f3/4196102/96d97f761f65/srep06615-f1.jpg

文献AI研究员

20分钟写一篇综述,助力文献阅读效率提升50倍。

立即体验

用中文搜PubMed

大模型驱动的PubMed中文搜索引擎

马上搜索

文档翻译

学术文献翻译模型,支持多种主流文档格式。

立即体验