Miranda Teresa, Nogales Sergio, Román Silvia, Montero Irene, Arranz José Ignacio, Sepúlveda Francisco José
Department of Mechanical, Energetic and Materials Engineering, Industrial Engineering School, University of Extremadura, Avda Elvas s/n, 06071 Badajoz, Spain.
Department of Applied Physics, Industrial Engineering School, University of Extremadura, Avda Elvas s/n, 06071 Badajoz, Spain.
Int J Mol Sci. 2014 Oct 13;15(10):18349-61. doi: 10.3390/ijms151018349.
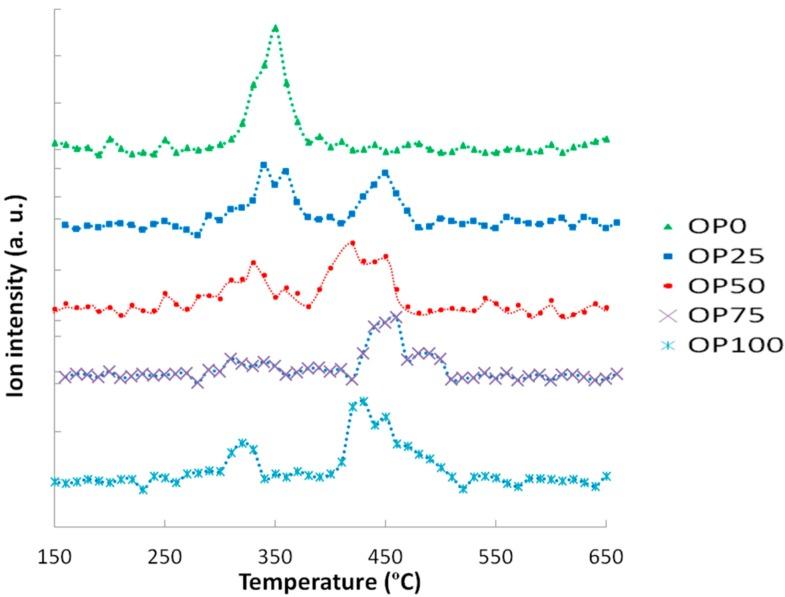
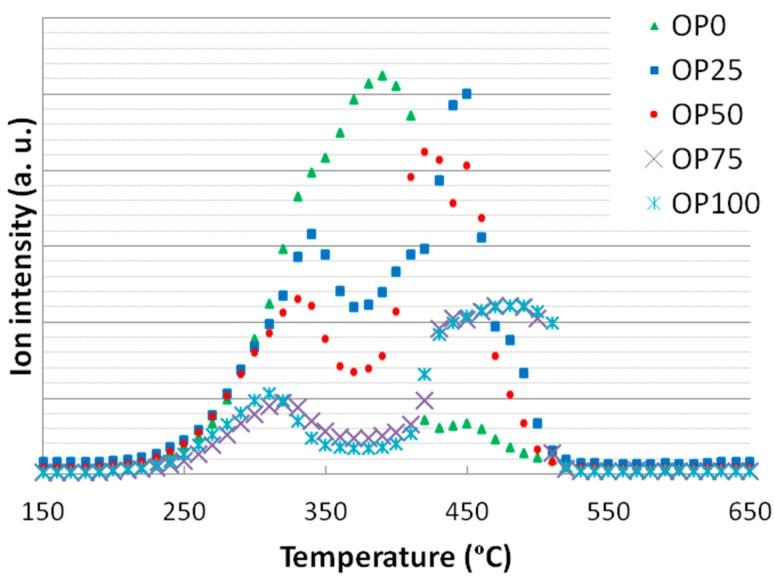
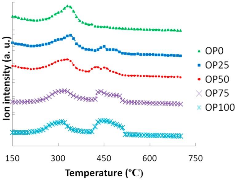
Biomass plays an important role as an energy source, being an interesting alternative to fossil fuels due to its environment-friendly and sustainable characteristics. However, due to the exposure of customers to emissions during biomass heating, evolved pollutants should be taken into account and controlled. Changing raw materials or mixing them with another less pollutant biomass could be a suitable step to reduce pollution. This work studied the thermal behaviour of olive pomace, pyrenean oak and their blends under combustion using thermogravimetric analysis. It was possible to monitor the emissions released during the process by coupling mass spectrometry analysis. The experiments were carried out under non-isothermal conditions at the temperature range 25-750 °C and a heating rate of 20 °C·min⁻¹. The following species were analysed: aromatic compounds (benzene and toluene), sulphur emissions (sulphur dioxide), 1,4-dioxin, hydrochloric acid, carbon dioxide and nitrogen oxides. The results indicated that pollutants were mainly evolved in two different stages, which are related to the thermal degradation steps. Thus, depending on the pollutant and raw material composition, different emission profiles were observed. Furthermore, intensity of the emission profiles was related, in some cases, to the composition of the precursor.
生物质作为一种能源发挥着重要作用,由于其环境友好和可持续的特性,它是化石燃料的一种有趣替代品。然而,由于生物质加热过程中客户会接触到排放物,因此应考虑并控制产生的污染物。更换原材料或将其与另一种污染较小的生物质混合可能是减少污染的合适措施。这项工作使用热重分析研究了橄榄渣、比利牛斯橡木及其混合物在燃烧过程中的热行为。通过耦合质谱分析可以监测该过程中释放的排放物。实验在25 - 750°C的温度范围内、以20°C·min⁻¹的加热速率在非等温条件下进行。分析了以下物质:芳香族化合物(苯和甲苯)、硫排放物(二氧化硫)、1,4 - 二噁英、盐酸、二氧化碳和氮氧化物。结果表明,污染物主要在两个不同阶段产生,这与热降解步骤有关。因此,根据污染物和原材料组成,观察到了不同的排放特征。此外,在某些情况下,排放特征的强度与前体的组成有关。